For a resource on using lavaan in R for
structural equation modeling, see the following e-book: https://tdjorgensen.github.io/SEM-in-Ed-compendium
#install.packages("remotes")
#remotes::install_github("DevPsyLab/petersenlab")
library("lavaan")
library("semTools")
library("semPlot")
library("lavaanPlot")
library("lavaangui")
library("lcsm")
library("MBESS")
library("tidyverse")
set.seed(52242)
sampleSize <- 100
X <- rnorm(sampleSize)
M <- 0.5*X + rnorm(sampleSize)
Y <- 0.7*M + rnorm(sampleSize)
mydata <- data.frame(
X = X,
Y = Y,
M = M)
https://isaactpetersen.github.io/Principles-Psychological-Assessment/sem.html#semModelExample-sem
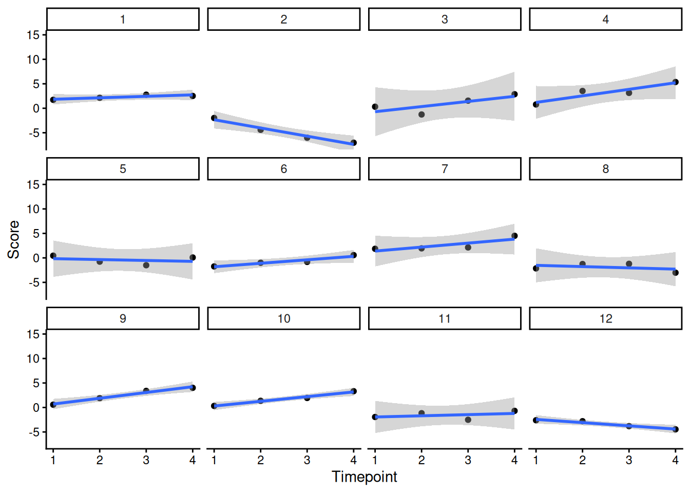
Transform data from wide to long format:
Demo.growth$id <- 1:nrow(Demo.growth)
Demo.growth_long <- Demo.growth %>%
pivot_longer(
cols = c(t1,t2,t3,t4),
names_to = "variable",
values_to = "value",
names_pattern = "t(.)") %>%
rename(
timepoint = variable,
score = value
)
Demo.growth_long$timepoint <- as.numeric(Demo.growth_long$timepoint)
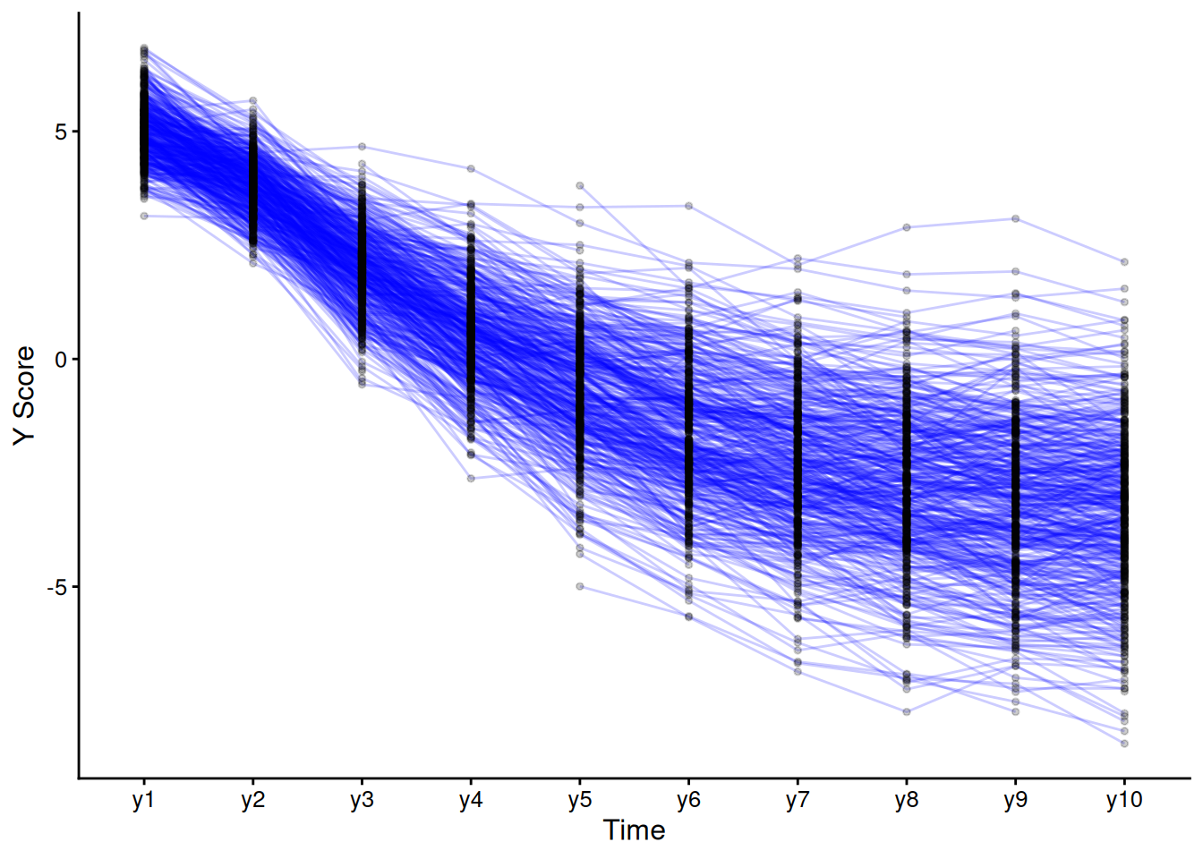
Plot the observed trajectory for each participant:
ggplot(
data = Demo.growth_long,
mapping = aes(
x = timepoint,
y = score,
group = id)) +
geom_line() +
scale_x_continuous(
breaks = 1:4,
name = "Timepoint") +
scale_y_continuous(
name = "Score")

See the chapter on latent growth curve modeling in
lavaan: https://tdjorgensen.github.io/SEM-in-Ed-compendium/ch27.html.
For extensions, see the following resources:
lgcm1_syntax <- '
# Intercept and slope
intercept =~ 1*t1 + 1*t2 + 1*t3 + 1*t4
slope =~ 0*t1 + 1*t2 + 2*t3 + 3*t4
# Regression paths
intercept ~ x1 + x2
slope ~ x1 + x2
# Time-varying covariates
t1 ~ c1
t2 ~ c2
t3 ~ c3
t4 ~ c4
'
lgcm2_syntax <- '
# Intercept and slope
intercept =~ 1*t1 + 1*t2 + 1*t3 + 1*t4
slope =~ 0*t1 + 1*t2 + 2*t3 + 3*t4
# Regression paths
intercept ~ x1 + x2
slope ~ x1 + x2
# Time-varying covariates
t1 ~ c1
t2 ~ c2
t3 ~ c3
t4 ~ c4
# Constrain observed intercepts to zero
t1 ~ 0
t2 ~ 0
t3 ~ 0
t4 ~ 0
# Estimate mean of intercept and slope
intercept ~ 1
slope ~ 1
'
lgcm1_fit <- growth(
lgcm1_syntax,
data = Demo.growth,
missing = "ML",
estimator = "MLR",
meanstructure = TRUE,
int.ov.free = FALSE,
int.lv.free = TRUE,
fixed.x = FALSE,
em.h1.iter.max = 100000)
Warning: lavaan->lav_partable_check():
automatically added intercepts are set to zero: ("x1", "x2", "c1", "c2",
"c3", "c4")
lgcm2_fit <- sem(
lgcm2_syntax,
data = Demo.growth,
missing = "ML",
estimator = "MLR",
meanstructure = TRUE,
fixed.x = FALSE,
em.h1.iter.max = 100000)
summary(
lgcm1_fit,
fit.measures = TRUE,
standardized = TRUE,
rsquare = TRUE)
Warning: lavaan->lav_partable_check():
automatically added intercepts are set to zero: ("x1", "x2", "c1", "c2",
"c3", "c4")
Warning: lavaan->lav_partable_check():
automatically added intercepts are set to zero: ("x1", "x2", "c1", "c2",
"c3", "c4")
lavaan 0.6-20 ended normally after 32 iterations
Estimator ML
Optimization method NLMINB
Number of model parameters 38
Number of observations 400
Number of missing patterns 1
Model Test User Model:
Standard Scaled
Test Statistic 40.774 40.982
Degrees of freedom 27 27
P-value (Chi-square) 0.043 0.041
Scaling correction factor 0.995
Yuan-Bentler correction (Mplus variant)
Model Test Baseline Model:
Test statistic 2345.885 2414.540
Degrees of freedom 30 30
P-value 0.000 0.000
Scaling correction factor 0.972
User Model versus Baseline Model:
Comparative Fit Index (CFI) 0.994 0.994
Tucker-Lewis Index (TLI) 0.993 0.993
Robust Comparative Fit Index (CFI) 0.992
Robust Tucker-Lewis Index (TLI) 0.992
Loglikelihood and Information Criteria:
Loglikelihood user model (H0) -5782.507 -5782.507
Scaling correction factor 0.991
for the MLR correction
Loglikelihood unrestricted model (H1) -5762.120 -5762.120
Scaling correction factor 0.993
for the MLR correction
Akaike (AIC) 11641.014 11641.014
Bayesian (BIC) 11792.690 11792.690
Sample-size adjusted Bayesian (SABIC) 11672.114 11672.114
Root Mean Square Error of Approximation:
RMSEA 0.036 0.036
90 Percent confidence interval - lower 0.006 0.007
90 Percent confidence interval - upper 0.057 0.057
P-value H_0: RMSEA <= 0.050 0.854 0.849
P-value H_0: RMSEA >= 0.080 0.000 0.000
Robust RMSEA 0.040
90 Percent confidence interval - lower 0.019
90 Percent confidence interval - upper 0.059
P-value H_0: Robust RMSEA <= 0.050 0.793
P-value H_0: Robust RMSEA >= 0.080 0.000
Standardized Root Mean Square Residual:
SRMR 0.030 0.030
Parameter Estimates:
Standard errors Sandwich
Information bread Observed
Observed information based on Hessian
Latent Variables:
Estimate Std.Err z-value P(>|z|) Std.lv Std.all
intercept =~
t1 1.000 1.386 0.875
t2 1.000 1.386 0.660
t3 1.000 1.386 0.507
t4 1.000 1.386 0.411
slope =~
t1 0.000 0.000 0.000
t2 1.000 0.769 0.366
t3 2.000 1.539 0.562
t4 3.000 2.308 0.685
Regressions:
Estimate Std.Err z-value P(>|z|) Std.lv Std.all
intercept ~
x1 0.608 0.059 10.275 0.000 0.439 0.453
x2 0.604 0.062 9.776 0.000 0.436 0.423
slope ~
x1 0.262 0.029 8.968 0.000 0.341 0.352
x2 0.522 0.032 16.302 0.000 0.678 0.658
t1 ~
c1 0.143 0.045 3.198 0.001 0.143 0.089
t2 ~
c2 0.289 0.047 6.215 0.000 0.289 0.131
t3 ~
c3 0.328 0.047 7.011 0.000 0.328 0.112
t4 ~
c4 0.330 0.057 5.814 0.000 0.330 0.090
Covariances:
Estimate Std.Err z-value P(>|z|) Std.lv Std.all
.intercept ~~
.slope 0.075 0.040 1.890 0.059 0.152 0.152
x1 ~~
x2 0.141 0.050 2.798 0.005 0.141 0.140
c1 -0.039 0.051 -0.762 0.446 -0.039 -0.038
c2 0.023 0.048 0.493 0.622 0.023 0.024
c3 0.027 0.050 0.544 0.586 0.027 0.028
c4 -0.023 0.045 -0.519 0.604 -0.023 -0.024
x2 ~~
c1 -0.018 0.050 -0.358 0.721 -0.018 -0.019
c2 -0.003 0.044 -0.075 0.940 -0.003 -0.004
c3 0.155 0.048 3.239 0.001 0.155 0.170
c4 -0.104 0.043 -2.421 0.015 -0.104 -0.116
c1 ~~
c2 0.080 0.045 1.793 0.073 0.080 0.086
c3 -0.030 0.050 -0.585 0.559 -0.030 -0.032
c4 0.127 0.048 2.668 0.008 0.127 0.140
c2 ~~
c3 0.003 0.041 0.078 0.938 0.003 0.004
c4 0.031 0.044 0.715 0.475 0.031 0.036
c3 ~~
c4 0.034 0.044 0.767 0.443 0.034 0.039
Intercepts:
Estimate Std.Err z-value P(>|z|) Std.lv Std.all
.intercept 0.580 0.061 9.501 0.000 0.419 0.419
.slope 0.958 0.030 32.177 0.000 1.244 1.244
Variances:
Estimate Std.Err z-value P(>|z|) Std.lv Std.all
.t1 0.580 0.091 6.386 0.000 0.580 0.231
.t2 0.596 0.056 10.627 0.000 0.596 0.135
.t3 0.481 0.051 9.434 0.000 0.481 0.064
.t4 0.535 0.094 5.709 0.000 0.535 0.047
.intercept 1.079 0.108 9.996 0.000 0.562 0.562
.slope 0.224 0.027 8.373 0.000 0.378 0.378
x1 1.064 0.068 15.614 0.000 1.064 1.000
x2 0.943 0.065 14.401 0.000 0.943 1.000
c1 0.972 0.064 15.306 0.000 0.972 1.000
c2 0.900 0.063 14.372 0.000 0.900 1.000
c3 0.876 0.067 13.041 0.000 0.876 1.000
c4 0.852 0.057 15.005 0.000 0.852 1.000
R-Square:
Estimate
t1 0.769
t2 0.865
t3 0.936
t4 0.953
intercept 0.438
slope 0.622
summary(
lgcm2_fit,
fit.measures = TRUE,
standardized = TRUE,
rsquare = TRUE)
lavaan 0.6-20 ended normally after 31 iterations
Estimator ML
Optimization method NLMINB
Number of model parameters 44
Number of observations 400
Number of missing patterns 1
Model Test User Model:
Standard Scaled
Test Statistic 26.059 26.344
Degrees of freedom 21 21
P-value (Chi-square) 0.204 0.194
Scaling correction factor 0.989
Yuan-Bentler correction (Mplus variant)
Model Test Baseline Model:
Test statistic 2345.885 2414.540
Degrees of freedom 30 30
P-value 0.000 0.000
Scaling correction factor 0.972
User Model versus Baseline Model:
Comparative Fit Index (CFI) 0.998 0.998
Tucker-Lewis Index (TLI) 0.997 0.997
Robust Comparative Fit Index (CFI) 0.998
Robust Tucker-Lewis Index (TLI) 0.997
Loglikelihood and Information Criteria:
Loglikelihood user model (H0) -5775.149 -5775.149
Scaling correction factor 0.994
for the MLR correction
Loglikelihood unrestricted model (H1) -5762.120 -5762.120
Scaling correction factor 0.993
for the MLR correction
Akaike (AIC) 11638.299 11638.299
Bayesian (BIC) 11813.923 11813.923
Sample-size adjusted Bayesian (SABIC) 11674.308 11674.308
Root Mean Square Error of Approximation:
RMSEA 0.025 0.025
90 Percent confidence interval - lower 0.000 0.000
90 Percent confidence interval - upper 0.051 0.052
P-value H_0: RMSEA <= 0.050 0.938 0.933
P-value H_0: RMSEA >= 0.080 0.000 0.000
Robust RMSEA 0.024
90 Percent confidence interval - lower 0.000
90 Percent confidence interval - upper 0.051
P-value H_0: Robust RMSEA <= 0.050 0.940
P-value H_0: Robust RMSEA >= 0.080 0.000
Standardized Root Mean Square Residual:
SRMR 0.014 0.014
Parameter Estimates:
Standard errors Sandwich
Information bread Observed
Observed information based on Hessian
Latent Variables:
Estimate Std.Err z-value P(>|z|) Std.lv Std.all
intercept =~
t1 1.000 1.386 0.875
t2 1.000 1.386 0.660
t3 1.000 1.386 0.507
t4 1.000 1.386 0.412
slope =~
t1 0.000 0.000 0.000
t2 1.000 0.768 0.366
t3 2.000 1.536 0.562
t4 3.000 2.304 0.684
Regressions:
Estimate Std.Err z-value P(>|z|) Std.lv Std.all
intercept ~
x1 0.608 0.059 10.275 0.000 0.439 0.451
x2 0.604 0.062 9.776 0.000 0.436 0.419
slope ~
x1 0.262 0.029 8.968 0.000 0.341 0.351
x2 0.522 0.032 16.301 0.000 0.679 0.653
t1 ~
c1 0.143 0.045 3.198 0.001 0.143 0.089
t2 ~
c2 0.289 0.047 6.215 0.000 0.289 0.131
t3 ~
c3 0.328 0.047 7.011 0.000 0.328 0.112
t4 ~
c4 0.330 0.057 5.814 0.000 0.330 0.091
Covariances:
Estimate Std.Err z-value P(>|z|) Std.lv Std.all
.intercept ~~
.slope 0.075 0.040 1.890 0.059 0.152 0.152
x1 ~~
x2 0.153 0.049 3.129 0.002 0.153 0.155
c1 -0.038 0.050 -0.760 0.447 -0.038 -0.037
c2 0.026 0.048 0.547 0.585 0.026 0.027
c3 0.033 0.049 0.674 0.501 0.033 0.035
c4 -0.025 0.044 -0.560 0.575 -0.025 -0.026
x2 ~~
c1 -0.019 0.050 -0.377 0.706 -0.019 -0.020
c2 -0.007 0.044 -0.167 0.867 -0.007 -0.008
c3 0.145 0.048 3.055 0.002 0.145 0.162
c4 -0.102 0.043 -2.371 0.018 -0.102 -0.115
c1 ~~
c2 0.080 0.045 1.789 0.074 0.080 0.085
c3 -0.030 0.050 -0.596 0.551 -0.030 -0.033
c4 0.128 0.048 2.669 0.008 0.128 0.140
c2 ~~
c3 0.001 0.042 0.030 0.976 0.001 0.001
c4 0.032 0.044 0.729 0.466 0.032 0.036
c3 ~~
c4 0.035 0.044 0.796 0.426 0.035 0.041
Intercepts:
Estimate Std.Err z-value P(>|z|) Std.lv Std.all
.t1 0.000 0.000 0.000
.t2 0.000 0.000 0.000
.t3 0.000 0.000 0.000
.t4 0.000 0.000 0.000
.intercept 0.580 0.061 9.501 0.000 0.419 0.419
.slope 0.958 0.030 32.177 0.000 1.247 1.247
x1 -0.092 0.051 -1.793 0.073 -0.092 -0.090
x2 0.138 0.048 2.878 0.004 0.138 0.144
c1 0.008 0.049 0.158 0.874 0.008 0.008
c2 0.029 0.047 0.610 0.542 0.029 0.031
c3 0.068 0.047 1.449 0.147 0.068 0.072
c4 -0.018 0.046 -0.390 0.696 -0.018 -0.020
Variances:
Estimate Std.Err z-value P(>|z|) Std.lv Std.all
.t1 0.580 0.091 6.386 0.000 0.580 0.231
.t2 0.596 0.056 10.627 0.000 0.596 0.135
.t3 0.481 0.051 9.434 0.000 0.481 0.064
.t4 0.535 0.094 5.709 0.000 0.535 0.047
.intercept 1.079 0.108 9.996 0.000 0.562 0.562
.slope 0.224 0.027 8.373 0.000 0.379 0.379
x1 1.056 0.068 15.511 0.000 1.056 1.000
x2 0.924 0.065 14.153 0.000 0.924 1.000
c1 0.972 0.063 15.321 0.000 0.972 1.000
c2 0.899 0.062 14.432 0.000 0.899 1.000
c3 0.872 0.067 13.018 0.000 0.872 1.000
c4 0.851 0.057 15.001 0.000 0.851 1.000
R-Square:
Estimate
t1 0.769
t2 0.865
t3 0.936
t4 0.953
intercept 0.438
slope 0.621
fitMeasures(
lgcm1_fit,
fit.measures = c(
"chisq", "df", "pvalue",
"chisq.scaled", "df.scaled", "pvalue.scaled",
"chisq.scaling.factor",
"baseline.chisq","baseline.df","baseline.pvalue",
"rmsea", "cfi", "tli", "srmr",
"rmsea.robust", "cfi.robust", "tli.robust"))
Warning: lavaan->lav_partable_check():
automatically added intercepts are set to zero: ("x1", "x2", "c1", "c2",
"c3", "c4")
Warning: lavaan->lav_partable_check():
automatically added intercepts are set to zero: ("x1", "x2", "c1", "c2",
"c3", "c4")
chisq df pvalue
40.774 27.000 0.043
chisq.scaled df.scaled pvalue.scaled
40.982 27.000 0.041
chisq.scaling.factor baseline.chisq baseline.df
0.995 2345.885 30.000
baseline.pvalue rmsea cfi
0.000 0.036 0.994
tli srmr rmsea.robust
0.993 0.030 0.040
cfi.robust tli.robust
0.992 0.992
residuals(
lgcm1_fit,
type = "cor")
$type
[1] "cor.bollen"
$cov
t1 t2 t3 t4 x1 x2 c1 c2 c3 c4
t1 0.000
t2 0.010 0.000
t3 -0.013 -0.001 0.000
t4 0.012 0.002 0.002 0.000
x1 0.007 0.004 0.002 0.010 0.000
x2 -0.006 0.005 0.002 -0.002 0.015 0.000
c1 0.006 0.018 0.001 0.056 0.001 -0.001 0.000
c2 0.006 -0.005 -0.007 -0.005 0.003 -0.004 0.000 0.000
c3 0.046 0.018 0.030 0.030 0.007 -0.008 -0.001 -0.002 0.000
c4 0.038 0.027 0.001 0.006 -0.002 0.002 0.000 0.001 0.002 0.000
$mean
t1 t2 t3 t4 x1 x2 c1 c2 c3 c4
0.009 0.064 0.036 0.055 -0.090 0.144 0.008 0.031 0.072 -0.020
modificationindices(
lgcm1_fit,
sort. = TRUE)
compRelSEM(lgcm1_fit)
named numeric(0)
semPlot::semPaths(
lgcm1_fit,
what = "Std.all",
layout = "tree2",
edge.label.cex = 1.5)

lavaanPlot::lavaanPlot(
lgcm1_fit,
coefs = TRUE,
#covs = TRUE,
stand = TRUE)
lavaanPlot::lavaanPlot2(
lgcm1_fit,
#stand = TRUE, # currently throws error; uncomment out when fixed: https://github.com/alishinski/lavaanPlot/issues/52
coef_labels = TRUE)
To generate an interactive/modifiable path diagram, you can use the following syntax:
lavaangui::plot_lavaan(lgcm1_fit)
Calculated from intercept and slope parameters:
lgcm1_intercept <- coef(lgcm1_fit)["intercept~1"]
lgcm1_slope <- coef(lgcm1_fit)["slope~1"]
ggplot() +
xlab("Timepoint") +
ylab("Score") +
scale_x_continuous(
limits = c(0, 3),
labels = 1:4) +
scale_y_continuous(
limits = c(0, 5)) +
geom_abline(
mapping = aes(
slope = lgcm1_slope,
intercept = lgcm1_intercept))

Calculated manually:
timepoints <- 4
newData <- expand.grid(
time = c(1, 4)
)
newData$predictedValue <- NA
newData$predictedValue[which(newData$time == 1)] <- lgcm1_intercept
newData$predictedValue[which(newData$time == 4)] <- lgcm1_intercept + (timepoints - 1)*lgcm1_slope
ggplot(
data = newData,
mapping = aes(x = time, y = predictedValue)) +
xlab("Timepoint") +
ylab("Score") +
scale_y_continuous(
limits = c(0, 5)) +
geom_line()

Calculated from intercept and slope parameters:
newData <- as.data.frame(predict(lgcm1_fit))
newData$id <- row.names(newData)
ggplot(
data = newData) +
xlab("Timepoint") +
ylab("Score") +
scale_x_continuous(
limits = c(0, 3),
labels = 1:4) +
scale_y_continuous(
limits = c(-10, 20)) +
geom_abline(
mapping = aes(
slope = slope,
intercept = intercept))

Calculated manually:
newData$t1 <- newData$intercept
newData$t4 <- newData$intercept + (timepoints - 1)*newData$slope
newData2 <- pivot_longer(
newData,
cols = c(t1, t4)) %>%
select(-intercept, -slope)
newData2$time <- NA
newData2$time[which(newData2$name == "t1")] <- 1
newData2$time[which(newData2$name == "t4")] <- 4
ggplot(
data = newData2,
mapping = aes(x = time, y = value, group = factor(id))) +
xlab("Timepoint") +
ylab("Score") +
scale_y_continuous(
limits = c(-10, 20)) +
geom_line()

newData <- as.data.frame(predict(lgcm1_fit))
newData$id <- row.names(newData)
ggplot(
data = newData) +
xlab("Timepoint") +
ylab("Score") +
scale_x_continuous(
limits = c(0, 3),
labels = 1:4) +
scale_y_continuous(
limits = c(-10, 20)) +
geom_abline(
mapping = aes(
slope = slope,
intercept = intercept)) +
geom_abline(
mapping = aes(
slope = lgcm1_slope,
intercept = lgcm1_intercept),
color = "blue",
linewidth = 2)

lbgcm1_syntax <- '
# Intercept and slope
intercept =~ 1*t1 + 1*t2 + 1*t3 + 1*t4
slope =~ 0*t1 + a*t2 + b*t3 + 3*t4 # freely estimate the loadings for t2 and t3
# Regression paths
intercept ~ x1 + x2
slope ~ x1 + x2
# Time-varying covariates
t1 ~ c1
t2 ~ c2
t3 ~ c3
t4 ~ c4
'
lbgcm2_syntax <- '
# Intercept and slope
intercept =~ 1*t1 + 1*t2 + 1*t3 + 1*t4
slope =~ 0*t1 + a*t2 + b*t3 + 3*t4 # freely estimate the loadings for t2 and t3
# Regression paths
intercept ~ x1 + x2
slope ~ x1 + x2
# Time-varying covariates
t1 ~ c1
t2 ~ c2
t3 ~ c3
t4 ~ c4
# Constrain observed intercepts to zero
t1 ~ 0
t2 ~ 0
t3 ~ 0
t4 ~ 0
# Estimate mean of intercept and slope
intercept ~ 1
slope ~ 1
'
lbgcm1_fit <- growth(
lbgcm1_syntax,
data = Demo.growth,
missing = "ML",
estimator = "MLR",
meanstructure = TRUE,
int.ov.free = FALSE,
int.lv.free = TRUE,
fixed.x = FALSE,
em.h1.iter.max = 100000)
Warning: lavaan->lav_partable_check():
automatically added intercepts are set to zero: ("x1", "x2", "c1", "c2",
"c3", "c4")
lbgcm2_fit <- sem(
lbgcm2_syntax,
data = Demo.growth,
missing = "ML",
estimator = "MLR",
meanstructure = TRUE,
fixed.x = FALSE,
em.h1.iter.max = 100000)
summary(
lbgcm1_fit,
fit.measures = TRUE,
standardized = TRUE,
rsquare = TRUE)
Warning: lavaan->lav_partable_check():
automatically added intercepts are set to zero: ("x1", "x2", "c1", "c2",
"c3", "c4")
Warning: lavaan->lav_partable_check():
automatically added intercepts are set to zero: ("x1", "x2", "c1", "c2",
"c3", "c4")
lavaan 0.6-20 ended normally after 30 iterations
Estimator ML
Optimization method NLMINB
Number of model parameters 40
Number of observations 400
Number of missing patterns 1
Model Test User Model:
Standard Scaled
Test Statistic 37.229 37.400
Degrees of freedom 25 25
P-value (Chi-square) 0.055 0.053
Scaling correction factor 0.995
Yuan-Bentler correction (Mplus variant)
Model Test Baseline Model:
Test statistic 2345.885 2414.540
Degrees of freedom 30 30
P-value 0.000 0.000
Scaling correction factor 0.972
User Model versus Baseline Model:
Comparative Fit Index (CFI) 0.995 0.995
Tucker-Lewis Index (TLI) 0.994 0.994
Robust Comparative Fit Index (CFI) 0.993
Robust Tucker-Lewis Index (TLI) 0.992
Loglikelihood and Information Criteria:
Loglikelihood user model (H0) -5780.735 -5780.735
Scaling correction factor 0.991
for the MLR correction
Loglikelihood unrestricted model (H1) -5762.120 -5762.120
Scaling correction factor 0.993
for the MLR correction
Akaike (AIC) 11641.470 11641.470
Bayesian (BIC) 11801.128 11801.128
Sample-size adjusted Bayesian (SABIC) 11674.206 11674.206
Root Mean Square Error of Approximation:
RMSEA 0.035 0.035
90 Percent confidence interval - lower 0.000 0.000
90 Percent confidence interval - upper 0.057 0.057
P-value H_0: RMSEA <= 0.050 0.855 0.851
P-value H_0: RMSEA >= 0.080 0.000 0.000
Robust RMSEA 0.040
90 Percent confidence interval - lower 0.018
90 Percent confidence interval - upper 0.059
P-value H_0: Robust RMSEA <= 0.050 0.793
P-value H_0: Robust RMSEA >= 0.080 0.000
Standardized Root Mean Square Residual:
SRMR 0.029 0.029
Parameter Estimates:
Standard errors Sandwich
Information bread Observed
Observed information based on Hessian
Latent Variables:
Estimate Std.Err z-value P(>|z|) Std.lv Std.all
intercept =~
t1 1.000 1.381 0.875
t2 1.000 1.381 0.650
t3 1.000 1.381 0.508
t4 1.000 1.381 0.409
slope =~
t1 0.000 0.000 0.000
t2 (a) 1.044 0.039 26.867 0.000 0.811 0.382
t3 (b) 1.960 0.037 53.301 0.000 1.523 0.561
t4 3.000 2.330 0.690
Regressions:
Estimate Std.Err z-value P(>|z|) Std.lv Std.all
intercept ~
x1 0.605 0.059 10.192 0.000 0.438 0.452
x2 0.598 0.062 9.619 0.000 0.433 0.420
slope ~
x1 0.265 0.030 8.969 0.000 0.341 0.351
x2 0.526 0.032 16.223 0.000 0.677 0.657
t1 ~
c1 0.145 0.045 3.226 0.001 0.145 0.090
t2 ~
c2 0.287 0.047 6.157 0.000 0.287 0.128
t3 ~
c3 0.337 0.047 7.111 0.000 0.337 0.116
t4 ~
c4 0.333 0.057 5.836 0.000 0.333 0.091
Covariances:
Estimate Std.Err z-value P(>|z|) Std.lv Std.all
.intercept ~~
.slope 0.072 0.040 1.790 0.074 0.144 0.144
x1 ~~
x2 0.141 0.050 2.798 0.005 0.141 0.140
c1 -0.039 0.051 -0.762 0.446 -0.039 -0.038
c2 0.023 0.048 0.493 0.622 0.023 0.024
c3 0.027 0.050 0.544 0.586 0.027 0.028
c4 -0.023 0.045 -0.519 0.604 -0.023 -0.024
x2 ~~
c1 -0.018 0.050 -0.358 0.721 -0.018 -0.019
c2 -0.003 0.044 -0.075 0.940 -0.003 -0.004
c3 0.155 0.048 3.239 0.001 0.155 0.170
c4 -0.104 0.043 -2.421 0.015 -0.104 -0.116
c1 ~~
c2 0.080 0.045 1.793 0.073 0.080 0.086
c3 -0.030 0.050 -0.585 0.559 -0.030 -0.032
c4 0.127 0.048 2.668 0.008 0.127 0.140
c2 ~~
c3 0.003 0.041 0.078 0.938 0.003 0.004
c4 0.031 0.044 0.715 0.475 0.031 0.036
c3 ~~
c4 0.034 0.044 0.767 0.443 0.034 0.039
Intercepts:
Estimate Std.Err z-value P(>|z|) Std.lv Std.all
.intercept 0.568 0.063 8.966 0.000 0.411 0.411
.slope 0.966 0.030 31.916 0.000 1.244 1.244
Variances:
Estimate Std.Err z-value P(>|z|) Std.lv Std.all
.t1 0.574 0.092 6.211 0.000 0.574 0.230
.t2 0.595 0.055 10.741 0.000 0.595 0.132
.t3 0.487 0.051 9.602 0.000 0.487 0.066
.t4 0.518 0.097 5.338 0.000 0.518 0.045
.intercept 1.079 0.109 9.932 0.000 0.566 0.566
.slope 0.229 0.027 8.388 0.000 0.379 0.379
x1 1.064 0.068 15.614 0.000 1.064 1.000
x2 0.943 0.065 14.401 0.000 0.943 1.000
c1 0.972 0.064 15.306 0.000 0.972 1.000
c2 0.900 0.063 14.372 0.000 0.900 1.000
c3 0.876 0.067 13.041 0.000 0.876 1.000
c4 0.852 0.057 15.005 0.000 0.852 1.000
R-Square:
Estimate
t1 0.770
t2 0.868
t3 0.934
t4 0.955
intercept 0.434
slope 0.621
summary(
lbgcm2_fit,
fit.measures = TRUE,
standardized = TRUE,
rsquare = TRUE)
lavaan 0.6-20 ended normally after 33 iterations
Estimator ML
Optimization method NLMINB
Number of model parameters 46
Number of observations 400
Number of missing patterns 1
Model Test User Model:
Standard Scaled
Test Statistic 22.514 22.759
Degrees of freedom 19 19
P-value (Chi-square) 0.259 0.248
Scaling correction factor 0.989
Yuan-Bentler correction (Mplus variant)
Model Test Baseline Model:
Test statistic 2345.885 2414.540
Degrees of freedom 30 30
P-value 0.000 0.000
Scaling correction factor 0.972
User Model versus Baseline Model:
Comparative Fit Index (CFI) 0.998 0.998
Tucker-Lewis Index (TLI) 0.998 0.998
Robust Comparative Fit Index (CFI) 0.999
Robust Tucker-Lewis Index (TLI) 0.998
Loglikelihood and Information Criteria:
Loglikelihood user model (H0) -5773.377 -5773.377
Scaling correction factor 0.994
for the MLR correction
Loglikelihood unrestricted model (H1) -5762.120 -5762.120
Scaling correction factor 0.993
for the MLR correction
Akaike (AIC) 11638.754 11638.754
Bayesian (BIC) 11822.361 11822.361
Sample-size adjusted Bayesian (SABIC) 11676.400 11676.400
Root Mean Square Error of Approximation:
RMSEA 0.022 0.022
90 Percent confidence interval - lower 0.000 0.000
90 Percent confidence interval - upper 0.051 0.051
P-value H_0: RMSEA <= 0.050 0.944 0.939
P-value H_0: RMSEA >= 0.080 0.000 0.000
Robust RMSEA 0.021
90 Percent confidence interval - lower 0.000
90 Percent confidence interval - upper 0.051
P-value H_0: Robust RMSEA <= 0.050 0.945
P-value H_0: Robust RMSEA >= 0.080 0.000
Standardized Root Mean Square Residual:
SRMR 0.013 0.013
Parameter Estimates:
Standard errors Sandwich
Information bread Observed
Observed information based on Hessian
Latent Variables:
Estimate Std.Err z-value P(>|z|) Std.lv Std.all
intercept =~
t1 1.000 1.381 0.875
t2 1.000 1.381 0.651
t3 1.000 1.381 0.509
t4 1.000 1.381 0.409
slope =~
t1 0.000 0.000 0.000
t2 (a) 1.044 0.039 26.867 0.000 0.809 0.381
t3 (b) 1.960 0.037 53.301 0.000 1.520 0.560
t4 3.000 2.326 0.689
Regressions:
Estimate Std.Err z-value P(>|z|) Std.lv Std.all
intercept ~
x1 0.605 0.059 10.192 0.000 0.438 0.450
x2 0.598 0.062 9.619 0.000 0.433 0.416
slope ~
x1 0.265 0.030 8.969 0.000 0.341 0.351
x2 0.526 0.032 16.223 0.000 0.678 0.652
t1 ~
c1 0.145 0.045 3.226 0.001 0.145 0.090
t2 ~
c2 0.287 0.047 6.157 0.000 0.287 0.128
t3 ~
c3 0.337 0.047 7.111 0.000 0.337 0.116
t4 ~
c4 0.333 0.057 5.836 0.000 0.333 0.091
Covariances:
Estimate Std.Err z-value P(>|z|) Std.lv Std.all
.intercept ~~
.slope 0.072 0.040 1.790 0.074 0.144 0.144
x1 ~~
x2 0.153 0.049 3.129 0.002 0.153 0.155
c1 -0.038 0.050 -0.760 0.447 -0.038 -0.037
c2 0.026 0.048 0.547 0.585 0.026 0.027
c3 0.033 0.049 0.674 0.501 0.033 0.035
c4 -0.025 0.044 -0.560 0.575 -0.025 -0.026
x2 ~~
c1 -0.019 0.050 -0.377 0.706 -0.019 -0.020
c2 -0.007 0.044 -0.167 0.867 -0.007 -0.008
c3 0.145 0.048 3.055 0.002 0.145 0.162
c4 -0.102 0.043 -2.371 0.018 -0.102 -0.115
c1 ~~
c2 0.080 0.045 1.789 0.074 0.080 0.085
c3 -0.030 0.050 -0.596 0.551 -0.030 -0.033
c4 0.128 0.048 2.669 0.008 0.128 0.140
c2 ~~
c3 0.001 0.042 0.030 0.976 0.001 0.001
c4 0.032 0.044 0.729 0.466 0.032 0.036
c3 ~~
c4 0.035 0.044 0.796 0.426 0.035 0.041
Intercepts:
Estimate Std.Err z-value P(>|z|) Std.lv Std.all
.t1 0.000 0.000 0.000
.t2 0.000 0.000 0.000
.t3 0.000 0.000 0.000
.t4 0.000 0.000 0.000
.intercept 0.568 0.063 8.966 0.000 0.411 0.411
.slope 0.966 0.030 31.916 0.000 1.246 1.246
x1 -0.092 0.051 -1.793 0.073 -0.092 -0.090
x2 0.138 0.048 2.878 0.004 0.138 0.144
c1 0.008 0.049 0.158 0.874 0.008 0.008
c2 0.029 0.047 0.610 0.542 0.029 0.031
c3 0.068 0.047 1.449 0.147 0.068 0.072
c4 -0.018 0.046 -0.390 0.696 -0.018 -0.020
Variances:
Estimate Std.Err z-value P(>|z|) Std.lv Std.all
.t1 0.574 0.092 6.211 0.000 0.574 0.230
.t2 0.595 0.055 10.741 0.000 0.595 0.132
.t3 0.487 0.051 9.602 0.000 0.487 0.066
.t4 0.518 0.097 5.338 0.000 0.518 0.046
.intercept 1.079 0.109 9.932 0.000 0.566 0.566
.slope 0.229 0.027 8.388 0.000 0.381 0.381
x1 1.056 0.068 15.511 0.000 1.056 1.000
x2 0.924 0.065 14.153 0.000 0.924 1.000
c1 0.972 0.063 15.321 0.000 0.972 1.000
c2 0.899 0.062 14.432 0.000 0.899 1.000
c3 0.872 0.067 13.018 0.000 0.872 1.000
c4 0.851 0.057 15.001 0.000 0.851 1.000
R-Square:
Estimate
t1 0.770
t2 0.868
t3 0.934
t4 0.954
intercept 0.434
slope 0.619
fitMeasures(
lbgcm1_fit,
fit.measures = c(
"chisq", "df", "pvalue",
"chisq.scaled", "df.scaled", "pvalue.scaled",
"chisq.scaling.factor",
"baseline.chisq","baseline.df","baseline.pvalue",
"rmsea", "cfi", "tli", "srmr",
"rmsea.robust", "cfi.robust", "tli.robust"))
Warning: lavaan->lav_partable_check():
automatically added intercepts are set to zero: ("x1", "x2", "c1", "c2",
"c3", "c4")
Warning: lavaan->lav_partable_check():
automatically added intercepts are set to zero: ("x1", "x2", "c1", "c2",
"c3", "c4")
chisq df pvalue
37.229 25.000 0.055
chisq.scaled df.scaled pvalue.scaled
37.400 25.000 0.053
chisq.scaling.factor baseline.chisq baseline.df
0.995 2345.885 30.000
baseline.pvalue rmsea cfi
0.000 0.035 0.995
tli srmr rmsea.robust
0.994 0.029 0.040
cfi.robust tli.robust
0.993 0.992
residuals(
lbgcm1_fit,
type = "cor")
$type
[1] "cor.bollen"
$cov
t1 t2 t3 t4 x1 x2 c1 c2 c3 c4
t1 0.000
t2 0.012 0.000
t3 -0.011 -0.003 0.000
t4 0.016 -0.003 0.003 0.000
x1 0.008 0.003 0.003 0.009 0.000
x2 -0.003 0.001 0.004 -0.003 0.015 0.000
c1 0.004 0.018 0.001 0.056 0.001 -0.001 0.000
c2 0.006 -0.003 -0.007 -0.005 0.003 -0.004 0.000 0.000
c3 0.046 0.018 0.026 0.030 0.007 -0.008 -0.001 -0.002 0.000
c4 0.038 0.027 0.001 0.005 -0.002 0.002 0.000 0.001 0.002 0.000
$mean
t1 t2 t3 t4 x1 x2 c1 c2 c3 c4
0.017 0.046 0.048 0.051 -0.090 0.144 0.008 0.031 0.072 -0.020
modificationindices(
lbgcm1_fit,
sort. = TRUE)
compRelSEM(lbgcm1_fit)
named numeric(0)
semPaths(
lbgcm1_fit,
what = "Std.all",
layout = "tree2",
edge.label.cex = 1.5)

lavaanPlot::lavaanPlot(
lbgcm1_fit,
coefs = TRUE,
#covs = TRUE,
stand = TRUE)
lavaanPlot::lavaanPlot2(
lbgcm1_fit,
stand = TRUE,
coef_labels = TRUE)
To generate an interactive/modifiable path diagram, you can use the following syntax:
lavaangui::plot_lavaan(lbgcm1_fit)
lbgcm1_intercept <- coef(lbgcm1_fit)["intercept~1"]
lbgcm1_slope <- coef(lbgcm1_fit)["slope~1"]
lbgcm1_slopeloadingt2 <- coef(lbgcm1_fit)["a"]
lbgcm1_slopeloadingt3 <- coef(lbgcm1_fit)["b"]
timepoints <- 4
newData <- data.frame(
time = 1:4,
slopeloading = c(0, lbgcm1_slopeloadingt2, lbgcm1_slopeloadingt3, 3)
)
newData$predictedValue <- NA
newData$predictedValue <- lbgcm1_intercept + lbgcm1_slope * newData$slopeloading
ggplot(
data = newData,
mapping = aes(x = time, y = predictedValue)) +
xlab("Timepoint") +
ylab("Score") +
scale_y_continuous(
limits = c(0, 5)) +
geom_line()

person_factors <- as.data.frame(predict(lbgcm1_fit))
person_factors$id <- rownames(person_factors)
slope_loadings <- c(0, lbgcm1_slopeloadingt2, lbgcm1_slopeloadingt3, 3)
# Compute model-implied values for each person at each time point
individual_trajectories <- person_factors %>%
rowwise() %>%
mutate(
t1 = intercept + slope * slope_loadings[1],
t2 = intercept + slope * slope_loadings[2],
t3 = intercept + slope * slope_loadings[3],
t4 = intercept + slope * slope_loadings[4]
) %>%
ungroup() %>%
select(id, t1, t2, t3, t4) %>%
pivot_longer(
cols = t1:t4,
names_to = "timepoint",
values_to = "value") %>%
mutate(
time = as.integer(substr(timepoint, 2, 2)) # extract number from "t1", "t2", etc.
)
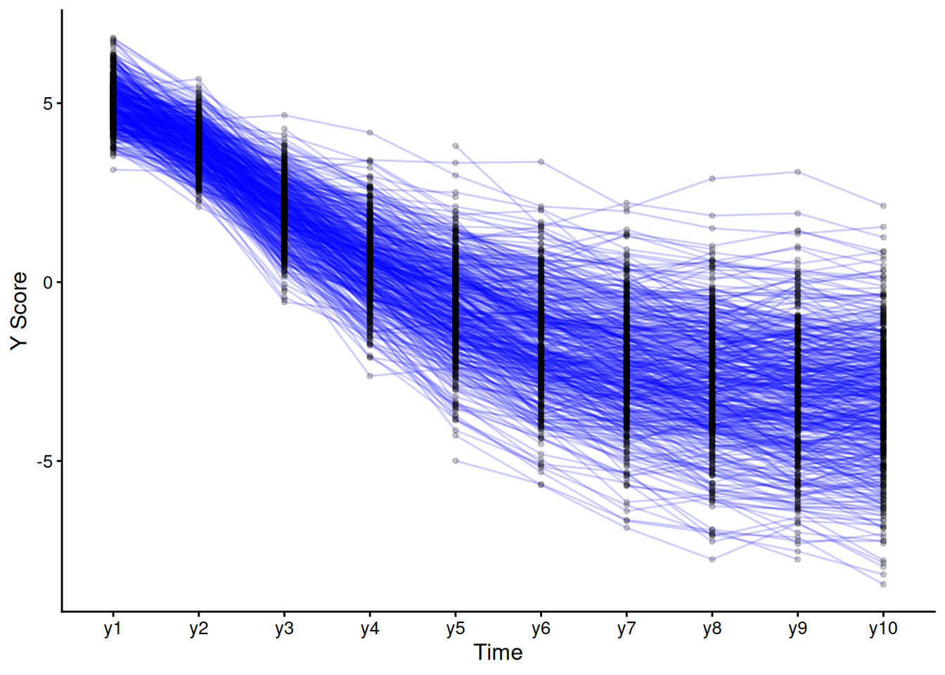
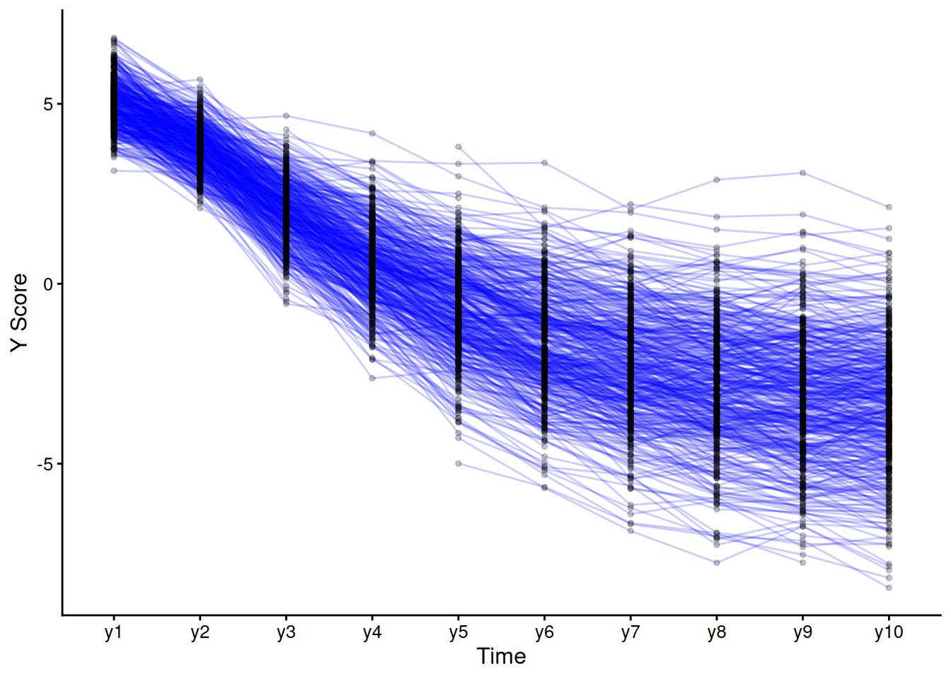
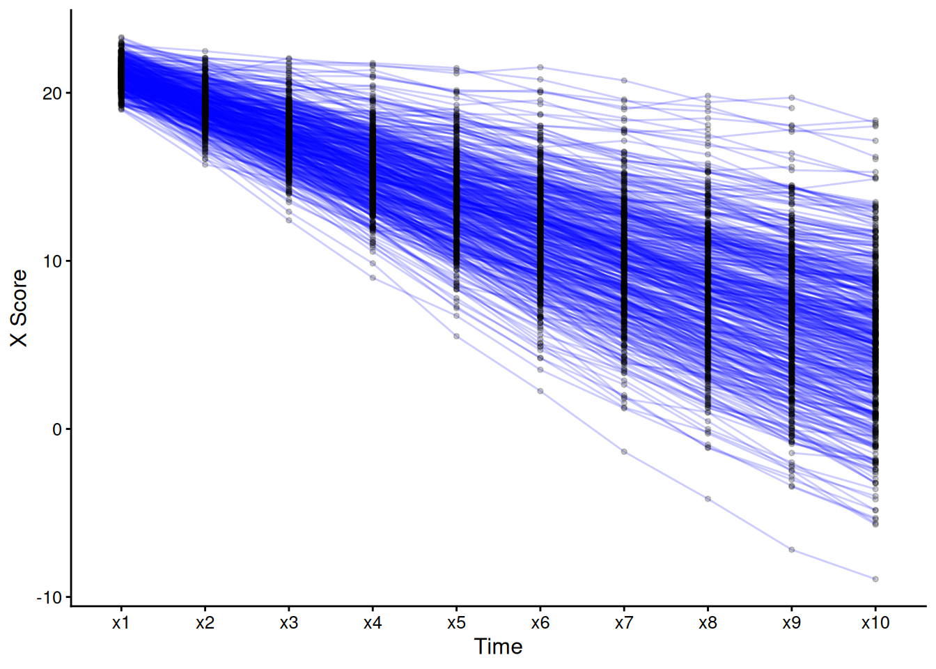
ggplot(
data = individual_trajectories,
mapping = aes(x = time, y = value, group = factor(id))) +
xlab("Timepoint") +
ylab("Score") +
scale_y_continuous(
limits = c(-10, 20)) +
geom_line()

ggplot() +
geom_line( # individuals' model-implied trajectories
data = individual_trajectories,
aes(
x = time,
y = value,
group = id),
) +
geom_line( # prototypical trajectory
data = newData,
aes(
x = time,
y = predictedValue),
color = "blue",
linewidth = 2
)

When using higher-order polynomials, we could specify contrast codes for time to reduce multicollinearity between the linear and quadratic growth factors: https://tdjorgensen.github.io/SEM-in-Ed-compendium/ch27.html#saturated-growth-model
factorLoadings <- poly(
x = c(0,1,2,3), # times (can allow unequal spacing)
degree = 2)
factorLoadings
1 2
[1,] -0.6708204 0.5
[2,] -0.2236068 -0.5
[3,] 0.2236068 -0.5
[4,] 0.6708204 0.5
attr(,"coefs")
attr(,"coefs")$alpha
[1] 1.5 1.5
attr(,"coefs")$norm2
[1] 1 4 5 4
attr(,"degree")
[1] 1 2
attr(,"class")
[1] "poly" "matrix"
linearLoadings <- factorLoadings[,1]
quadraticLoadings <- factorLoadings[,2]
linearLoadings
[1] -0.6708204 -0.2236068 0.2236068 0.6708204
quadraticLoadings
[1] 0.5 -0.5 -0.5 0.5
quadraticGCM1_syntax <- '
# Intercept and slope
intercept =~ 1*t1 + 1*t2 + 1*t3 + 1*t4
linear =~ 0*t1 + 1*t2 + 2*t3 + 3*t4
quadratic =~ 0*t1 + 1*t2 + 4*t3 + 9*t4
# Regression paths
intercept ~ x1 + x2
linear ~ x1 + x2
quadratic ~ x1 + x2
# Time-varying covariates
t1 ~ c1
t2 ~ c2
t3 ~ c3
t4 ~ c4
'
quadraticGCM2_syntax <- '
# Intercept and slope
intercept =~ 1*t1 + 1*t2 + 1*t3 + 1*t4
linear =~ 0*t1 + 1*t2 + 2*t3 + 3*t4
quadratic =~ 0*t1 + 1*t2 + 4*t3 + 9*t4
# Regression paths
intercept ~ x1 + x2
linear ~ x1 + x2
quadratic ~ x1 + x2
# Time-varying covariates
t1 ~ c1
t2 ~ c2
t3 ~ c3
t4 ~ c4
# Constrain observed intercepts to zero
t1 ~ 0
t2 ~ 0
t3 ~ 0
t4 ~ 0
# Estimate mean of intercept and slope
intercept ~ 1
linear ~ 1
quadratic ~ 1
'
quadraticGCM1_fit <- growth(
quadraticGCM1_syntax,
data = Demo.growth,
missing = "ML",
estimator = "MLR",
meanstructure = TRUE,
int.ov.free = FALSE,
int.lv.free = TRUE,
fixed.x = FALSE,
em.h1.iter.max = 100000)
Warning: lavaan->lav_partable_check():
automatically added intercepts are set to zero: ("x1", "x2", "c1", "c2",
"c3", "c4")
quadraticGCM2_fit <- sem(
quadraticGCM2_syntax,
data = Demo.growth,
missing = "ML",
estimator = "MLR",
meanstructure = TRUE,
fixed.x = FALSE,
em.h1.iter.max = 100000)
summary(
quadraticGCM1_fit,
fit.measures = TRUE,
standardized = TRUE,
rsquare = TRUE)
Warning: lavaan->lav_partable_check():
automatically added intercepts are set to zero: ("x1", "x2", "c1", "c2",
"c3", "c4")
Warning: lavaan->lav_partable_check():
automatically added intercepts are set to zero: ("x1", "x2", "c1", "c2",
"c3", "c4")
lavaan 0.6-20 ended normally after 56 iterations
Estimator ML
Optimization method NLMINB
Number of model parameters 44
Number of observations 400
Number of missing patterns 1
Model Test User Model:
Standard Scaled
Test Statistic 35.756 35.604
Degrees of freedom 21 21
P-value (Chi-square) 0.023 0.024
Scaling correction factor 1.004
Yuan-Bentler correction (Mplus variant)
Model Test Baseline Model:
Test statistic 2345.885 2414.540
Degrees of freedom 30 30
P-value 0.000 0.000
Scaling correction factor 0.972
User Model versus Baseline Model:
Comparative Fit Index (CFI) 0.994 0.994
Tucker-Lewis Index (TLI) 0.991 0.991
Robust Comparative Fit Index (CFI) 0.992
Robust Tucker-Lewis Index (TLI) 0.989
Loglikelihood and Information Criteria:
Loglikelihood user model (H0) -5779.998 -5779.998
Scaling correction factor 0.987
for the MLR correction
Loglikelihood unrestricted model (H1) -5762.120 -5762.120
Scaling correction factor 0.993
for the MLR correction
Akaike (AIC) 11647.996 11647.996
Bayesian (BIC) 11823.621 11823.621
Sample-size adjusted Bayesian (SABIC) 11684.006 11684.006
Root Mean Square Error of Approximation:
RMSEA 0.042 0.042
90 Percent confidence interval - lower 0.016 0.015
90 Percent confidence interval - upper 0.065 0.065
P-value H_0: RMSEA <= 0.050 0.692 0.698
P-value H_0: RMSEA >= 0.080 0.002 0.002
Robust RMSEA 0.047
90 Percent confidence interval - lower 0.026
90 Percent confidence interval - upper 0.067
P-value H_0: Robust RMSEA <= 0.050 0.584
P-value H_0: Robust RMSEA >= 0.080 0.002
Standardized Root Mean Square Residual:
SRMR 0.030 0.030
Parameter Estimates:
Standard errors Sandwich
Information bread Observed
Observed information based on Hessian
Latent Variables:
Estimate Std.Err z-value P(>|z|) Std.lv Std.all
intercept =~
t1 1.000 1.509 0.956
t2 1.000 1.509 0.715
t3 1.000 1.509 0.553
t4 1.000 1.509 0.448
linear =~
t1 0.000 0.000 0.000
t2 1.000 1.054 0.499
t3 2.000 2.108 0.773
t4 3.000 3.163 0.938
quadratic =~
t1 0.000 0.000 0.000
t2 1.000 0.164 0.078
t3 4.000 0.655 0.240
t4 9.000 1.474 0.437
Regressions:
Estimate Std.Err z-value P(>|z|) Std.lv Std.all
intercept ~
x1 0.615 0.063 9.801 0.000 0.407 0.420
x2 0.590 0.066 8.878 0.000 0.391 0.380
linear ~
x1 0.236 0.063 3.737 0.000 0.224 0.231
x2 0.557 0.073 7.595 0.000 0.528 0.513
quadratic ~
x1 0.009 0.020 0.456 0.649 0.055 0.056
x2 -0.012 0.021 -0.549 0.583 -0.070 -0.068
t1 ~
c1 0.130 0.045 2.864 0.004 0.130 0.081
t2 ~
c2 0.289 0.047 6.207 0.000 0.289 0.130
t3 ~
c3 0.330 0.047 7.030 0.000 0.330 0.113
t4 ~
c4 0.326 0.057 5.726 0.000 0.326 0.089
Covariances:
Estimate Std.Err z-value P(>|z|) Std.lv Std.all
.intercept ~~
.linear -0.359 0.216 -1.658 0.097 -0.351 -0.351
.quadratic 0.108 0.053 2.025 0.043 0.552 0.552
.linear ~~
.quadratic -0.119 0.056 -2.121 0.034 -0.857 -0.857
x1 ~~
x2 0.141 0.050 2.798 0.005 0.141 0.140
c1 -0.039 0.051 -0.762 0.446 -0.039 -0.038
c2 0.023 0.048 0.493 0.622 0.023 0.024
c3 0.027 0.050 0.544 0.586 0.027 0.028
c4 -0.023 0.045 -0.519 0.604 -0.023 -0.024
x2 ~~
c1 -0.018 0.050 -0.358 0.721 -0.018 -0.019
c2 -0.003 0.044 -0.075 0.940 -0.003 -0.004
c3 0.155 0.048 3.239 0.001 0.155 0.170
c4 -0.104 0.043 -2.421 0.015 -0.104 -0.116
c1 ~~
c2 0.080 0.045 1.793 0.073 0.080 0.086
c3 -0.030 0.050 -0.585 0.559 -0.030 -0.032
c4 0.127 0.048 2.668 0.008 0.127 0.140
c2 ~~
c3 0.003 0.041 0.078 0.938 0.003 0.004
c4 0.031 0.044 0.715 0.475 0.031 0.036
c3 ~~
c4 0.034 0.044 0.767 0.443 0.034 0.039
Intercepts:
Estimate Std.Err z-value P(>|z|) Std.lv Std.all
.intercept 0.575 0.065 8.793 0.000 0.381 0.381
.linear 0.944 0.066 14.331 0.000 0.895 0.895
.quadratic 0.005 0.020 0.276 0.783 0.033 0.033
Variances:
Estimate Std.Err z-value P(>|z|) Std.lv Std.all
.t1 0.208 0.187 1.111 0.267 0.208 0.084
.t2 0.640 0.079 8.106 0.000 0.640 0.144
.t3 0.404 0.085 4.747 0.000 0.404 0.054
.t4 0.623 0.307 2.027 0.043 0.623 0.055
.intercept 1.445 0.208 6.939 0.000 0.635 0.635
.linear 0.723 0.229 3.160 0.002 0.650 0.650
.quadratic 0.027 0.020 1.353 0.176 0.993 0.993
x1 1.064 0.068 15.614 0.000 1.064 1.000
x2 0.943 0.065 14.401 0.000 0.943 1.000
c1 0.972 0.064 15.306 0.000 0.972 1.000
c2 0.900 0.063 14.372 0.000 0.900 1.000
c3 0.876 0.067 13.041 0.000 0.876 1.000
c4 0.852 0.057 15.005 0.000 0.852 1.000
R-Square:
Estimate
t1 0.916
t2 0.856
t3 0.946
t4 0.945
intercept 0.365
linear 0.350
quadratic 0.007
summary(
quadraticGCM2_fit,
fit.measures = TRUE,
standardized = TRUE,
rsquare = TRUE)
lavaan 0.6-20 ended normally after 56 iterations
Estimator ML
Optimization method NLMINB
Number of model parameters 50
Number of observations 400
Number of missing patterns 1
Model Test User Model:
Standard Scaled
Test Statistic 21.040 21.042
Degrees of freedom 15 15
P-value (Chi-square) 0.136 0.136
Scaling correction factor 1.000
Yuan-Bentler correction (Mplus variant)
Model Test Baseline Model:
Test statistic 2345.885 2414.540
Degrees of freedom 30 30
P-value 0.000 0.000
Scaling correction factor 0.972
User Model versus Baseline Model:
Comparative Fit Index (CFI) 0.997 0.997
Tucker-Lewis Index (TLI) 0.995 0.995
Robust Comparative Fit Index (CFI) 0.998
Robust Tucker-Lewis Index (TLI) 0.995
Loglikelihood and Information Criteria:
Loglikelihood user model (H0) -5772.640 -5772.640
Scaling correction factor 0.990
for the MLR correction
Loglikelihood unrestricted model (H1) -5762.120 -5762.120
Scaling correction factor 0.993
for the MLR correction
Akaike (AIC) 11645.281 11645.281
Bayesian (BIC) 11844.854 11844.854
Sample-size adjusted Bayesian (SABIC) 11686.201 11686.201
Root Mean Square Error of Approximation:
RMSEA 0.032 0.032
90 Percent confidence interval - lower 0.000 0.000
90 Percent confidence interval - upper 0.061 0.061
P-value H_0: RMSEA <= 0.050 0.828 0.828
P-value H_0: RMSEA >= 0.080 0.002 0.002
Robust RMSEA 0.031
90 Percent confidence interval - lower 0.000
90 Percent confidence interval - upper 0.061
P-value H_0: Robust RMSEA <= 0.050 0.834
P-value H_0: Robust RMSEA >= 0.080 0.002
Standardized Root Mean Square Residual:
SRMR 0.014 0.014
Parameter Estimates:
Standard errors Sandwich
Information bread Observed
Observed information based on Hessian
Latent Variables:
Estimate Std.Err z-value P(>|z|) Std.lv Std.all
intercept =~
t1 1.000 1.509 0.956
t2 1.000 1.509 0.715
t3 1.000 1.509 0.554
t4 1.000 1.509 0.448
linear =~
t1 0.000 0.000 0.000
t2 1.000 1.053 0.499
t3 2.000 2.106 0.773
t4 3.000 3.158 0.938
quadratic =~
t1 0.000 0.000 0.000
t2 1.000 0.164 0.078
t3 4.000 0.655 0.241
t4 9.000 1.474 0.438
Regressions:
Estimate Std.Err z-value P(>|z|) Std.lv Std.all
intercept ~
x1 0.615 0.063 9.801 0.000 0.407 0.419
x2 0.590 0.066 8.878 0.000 0.391 0.376
linear ~
x1 0.236 0.063 3.737 0.000 0.224 0.230
x2 0.557 0.073 7.595 0.000 0.529 0.508
quadratic ~
x1 0.009 0.020 0.456 0.649 0.055 0.056
x2 -0.012 0.021 -0.549 0.583 -0.070 -0.068
t1 ~
c1 0.130 0.045 2.864 0.004 0.130 0.081
t2 ~
c2 0.289 0.047 6.207 0.000 0.289 0.130
t3 ~
c3 0.330 0.047 7.030 0.000 0.330 0.113
t4 ~
c4 0.326 0.057 5.726 0.000 0.326 0.089
Covariances:
Estimate Std.Err z-value P(>|z|) Std.lv Std.all
.intercept ~~
.linear -0.359 0.216 -1.658 0.097 -0.351 -0.351
.quadratic 0.108 0.053 2.025 0.043 0.552 0.552
.linear ~~
.quadratic -0.119 0.056 -2.121 0.034 -0.857 -0.857
x1 ~~
x2 0.153 0.049 3.129 0.002 0.153 0.155
c1 -0.038 0.050 -0.760 0.447 -0.038 -0.037
c2 0.026 0.048 0.547 0.585 0.026 0.027
c3 0.033 0.049 0.674 0.501 0.033 0.035
c4 -0.025 0.044 -0.560 0.575 -0.025 -0.026
x2 ~~
c1 -0.019 0.050 -0.377 0.706 -0.019 -0.020
c2 -0.007 0.044 -0.167 0.867 -0.007 -0.008
c3 0.145 0.048 3.055 0.002 0.145 0.162
c4 -0.102 0.043 -2.371 0.018 -0.102 -0.115
c1 ~~
c2 0.080 0.045 1.789 0.074 0.080 0.085
c3 -0.030 0.050 -0.596 0.551 -0.030 -0.033
c4 0.128 0.048 2.669 0.008 0.128 0.140
c2 ~~
c3 0.001 0.042 0.030 0.976 0.001 0.001
c4 0.032 0.044 0.729 0.466 0.032 0.036
c3 ~~
c4 0.035 0.044 0.796 0.426 0.035 0.041
Intercepts:
Estimate Std.Err z-value P(>|z|) Std.lv Std.all
.t1 0.000 0.000 0.000
.t2 0.000 0.000 0.000
.t3 0.000 0.000 0.000
.t4 0.000 0.000 0.000
.intercept 0.575 0.065 8.793 0.000 0.381 0.381
.linear 0.944 0.066 14.331 0.000 0.896 0.896
.quadratic 0.005 0.020 0.276 0.783 0.033 0.033
x1 -0.092 0.051 -1.793 0.073 -0.092 -0.090
x2 0.138 0.048 2.878 0.004 0.138 0.144
c1 0.008 0.049 0.158 0.874 0.008 0.008
c2 0.029 0.047 0.610 0.542 0.029 0.031
c3 0.068 0.047 1.449 0.147 0.068 0.072
c4 -0.018 0.046 -0.390 0.696 -0.018 -0.020
Variances:
Estimate Std.Err z-value P(>|z|) Std.lv Std.all
.t1 0.208 0.187 1.111 0.267 0.208 0.084
.t2 0.640 0.079 8.106 0.000 0.640 0.144
.t3 0.404 0.085 4.747 0.000 0.404 0.055
.t4 0.623 0.307 2.027 0.043 0.623 0.055
.intercept 1.445 0.208 6.939 0.000 0.635 0.635
.linear 0.723 0.229 3.160 0.002 0.652 0.652
.quadratic 0.027 0.020 1.353 0.176 0.993 0.993
x1 1.056 0.068 15.511 0.000 1.056 1.000
x2 0.924 0.065 14.153 0.000 0.924 1.000
c1 0.972 0.063 15.321 0.000 0.972 1.000
c2 0.899 0.062 14.432 0.000 0.899 1.000
c3 0.872 0.067 13.018 0.000 0.872 1.000
c4 0.851 0.057 15.001 0.000 0.851 1.000
R-Square:
Estimate
t1 0.916
t2 0.856
t3 0.945
t4 0.945
intercept 0.365
linear 0.348
quadratic 0.007
fitMeasures(
quadraticGCM1_fit,
fit.measures = c(
"chisq", "df", "pvalue",
"chisq.scaled", "df.scaled", "pvalue.scaled",
"chisq.scaling.factor",
"baseline.chisq","baseline.df","baseline.pvalue",
"rmsea", "cfi", "tli", "srmr",
"rmsea.robust", "cfi.robust", "tli.robust"))
Warning: lavaan->lav_partable_check():
automatically added intercepts are set to zero: ("x1", "x2", "c1", "c2",
"c3", "c4")
Warning: lavaan->lav_partable_check():
automatically added intercepts are set to zero: ("x1", "x2", "c1", "c2",
"c3", "c4")
chisq df pvalue
35.756 21.000 0.023
chisq.scaled df.scaled pvalue.scaled
35.604 21.000 0.024
chisq.scaling.factor baseline.chisq baseline.df
1.004 2345.885 30.000
baseline.pvalue rmsea cfi
0.000 0.042 0.994
tli srmr rmsea.robust
0.991 0.030 0.047
cfi.robust tli.robust
0.992 0.989
residuals(
quadraticGCM1_fit,
type = "cor")
$type
[1] "cor.bollen"
$cov
t1 t2 t3 t4 x1 x2 c1 c2 c3 c4
t1 0.000
t2 0.002 0.000
t3 0.002 0.001 0.000
t4 0.007 0.003 0.000 0.000
x1 0.002 0.011 0.004 0.008 0.000
x2 0.001 0.004 -0.003 0.001 0.015 0.000
c1 0.014 0.018 0.001 0.056 0.001 -0.001 0.000
c2 0.006 -0.004 -0.007 -0.005 0.003 -0.004 0.000 0.000
c3 0.047 0.018 0.028 0.031 0.007 -0.008 -0.001 -0.002 0.000
c4 0.038 0.027 0.002 0.006 -0.002 0.002 0.000 0.001 0.002 0.000
$mean
t1 t2 t3 t4 x1 x2 c1 c2 c3 c4
0.012 0.070 0.040 0.054 -0.090 0.144 0.008 0.031 0.072 -0.020
modificationindices(
quadraticGCM1_fit,
sort. = TRUE)
compRelSEM(quadraticGCM1_fit)
named numeric(0)
semPlot::semPaths(
quadraticGCM1_fit,
what = "Std.all",
layout = "tree2",
edge.label.cex = 1.5)

lavaanPlot::lavaanPlot(
quadraticGCM1_fit,
coefs = TRUE,
#covs = TRUE,
stand = TRUE)
lavaanPlot::lavaanPlot2(
quadraticGCM1_fit,
#stand = TRUE, # currently throws error; uncomment out when fixed: https://github.com/alishinski/lavaanPlot/issues/52
coef_labels = TRUE)
To generate an interactive/modifiable path diagram, you can use the following syntax:
lavaangui::plot_lavaan(quadraticGCM1_fit)
Calculated from intercept and slope parameters:
quadraticGCM1_intercept <- coef(quadraticGCM1_fit)["intercept~1"]
quadraticGCM1_linear <- coef(quadraticGCM1_fit)["linear~1"]
quadraticGCM1_quadratic <- coef(quadraticGCM1_fit)["quadratic~1"]
timepoints <- 4
newData <- data.frame(
time = 1:4,
linearLoading = c(0, 1, 2, 3),
quadraticLoading = c(0, 1, 4, 9)
)
newData$predictedValue <- NA
newData$predictedValue <- quadraticGCM1_intercept + (quadraticGCM1_linear * newData$linearLoading) + (quadraticGCM1_quadratic * newData$quadraticLoading)
ggplot(
data = newData,
mapping = aes(
x = time,
y = predictedValue)) +
xlab("Timepoint") +
ylab("Score") +
scale_y_continuous(
limits = c(0, 5)) +
geom_line()

person_factors <- as.data.frame(predict(quadraticGCM1_fit))
person_factors$id <- rownames(person_factors)
linear_loadings <- c(0, 1, 2, 3)
quadratic_loadings <- c(0, 1, 4, 9)
# Compute model-implied values for each person at each time point
individual_trajectories <- person_factors %>%
rowwise() %>%
mutate(
t1 = intercept + (linear * linear_loadings[1]) + (quadratic * quadratic_loadings[1]),
t2 = intercept + (linear * linear_loadings[2]) + (quadratic * quadratic_loadings[2]),
t3 = intercept + (linear * linear_loadings[3]) + (quadratic * quadratic_loadings[3]),
t4 = intercept + (linear * linear_loadings[4]) + (quadratic * quadratic_loadings[4])
) %>%
ungroup() %>%
select(id, t1, t2, t3, t4) %>%
pivot_longer(
cols = t1:t4,
names_to = "timepoint",
values_to = "value") %>%
mutate(
time = as.integer(substr(timepoint, 2, 2)) # extract number from "t1", "t2", etc.
)
ggplot(
data = individual_trajectories,
mapping = aes(
x = time,
y = value,
group = factor(id))) +
xlab("Timepoint") +
ylab("Score") +
scale_y_continuous(
limits = c(-10, 20)) +
geom_line()

ggplot() +
geom_line( # individuals' model-implied trajectories
data = individual_trajectories,
aes(
x = time,
y = value,
group = id),
) +
geom_line( # prototypical trajectory
data = newData,
aes(
x = time,
y = predictedValue),
color = "blue",
linewidth = 2
)

splineGCM1_syntax <- '
# Intercept and slope
intercept =~ 1*t1 + 1*t2 + 1*t3 + 1*t4
slope =~ 0*t1 + 1*t2 + 2*t3 + 3*t4
knot =~ 0*t1 + 0*t2 + 1*t3 + 1*t4
# Regression paths
intercept ~ x1 + x2
slope ~ x1 + x2
knot ~ x1 + x2
# Spline has no variance
knot ~~ 0*knot
# Spline does not covary with intercept and slope
knot ~~ 0*intercept
knot ~~ 0*slope
# Time-varying covariates
t1 ~ c1
t2 ~ c2
t3 ~ c3
t4 ~ c4
'
splineGCM2_syntax <- '
# Intercept and slope
intercept =~ 1*t1 + 1*t2 + 1*t3 + 1*t4
slope =~ 0*t1 + 1*t2 + 2*t3 + 3*t4
knot =~ 0*t1 + 0*t2 + 1*t3 + 1*t4
# Regression paths
intercept ~ x1 + x2
slope ~ x1 + x2
knot ~ x1 + x2
# Spline has no variance
knot ~~ 0*knot
# Spline does not covary with intercept and slope
knot ~~ 0*intercept
knot ~~ 0*slope
# Time-varying covariates
t1 ~ c1
t2 ~ c2
t3 ~ c3
t4 ~ c4
# Constrain observed intercepts to zero
t1 ~ 0
t2 ~ 0
t3 ~ 0
t4 ~ 0
# Estimate mean of intercept and slope
intercept ~ 1
slope ~ 1
knot ~ 1
'
splineGCM1_fit <- growth(
splineGCM1_syntax,
data = Demo.growth,
missing = "ML",
estimator = "MLR",
meanstructure = TRUE,
int.ov.free = FALSE,
int.lv.free = TRUE,
fixed.x = FALSE,
em.h1.iter.max = 100000)
Warning: lavaan->lav_partable_check():
automatically added intercepts are set to zero: ("x1", "x2", "c1", "c2",
"c3", "c4")
splineGCM2_fit <- sem(
splineGCM2_syntax,
data = Demo.growth,
missing = "ML",
estimator = "MLR",
meanstructure = TRUE,
fixed.x = FALSE,
em.h1.iter.max = 100000)
summary(
splineGCM1_fit,
fit.measures = TRUE,
standardized = TRUE,
rsquare = TRUE)
Warning: lavaan->lav_partable_check():
automatically added intercepts are set to zero: ("x1", "x2", "c1", "c2",
"c3", "c4")
Warning: lavaan->lav_partable_check():
automatically added intercepts are set to zero: ("x1", "x2", "c1", "c2",
"c3", "c4")
lavaan 0.6-20 ended normally after 35 iterations
Estimator ML
Optimization method NLMINB
Number of model parameters 41
Number of observations 400
Number of missing patterns 1
Model Test User Model:
Standard Scaled
Test Statistic 36.091 36.117
Degrees of freedom 24 24
P-value (Chi-square) 0.054 0.053
Scaling correction factor 0.999
Yuan-Bentler correction (Mplus variant)
Model Test Baseline Model:
Test statistic 2345.885 2414.540
Degrees of freedom 30 30
P-value 0.000 0.000
Scaling correction factor 0.972
User Model versus Baseline Model:
Comparative Fit Index (CFI) 0.995 0.995
Tucker-Lewis Index (TLI) 0.993 0.994
Robust Comparative Fit Index (CFI) 0.993
Robust Tucker-Lewis Index (TLI) 0.991
Loglikelihood and Information Criteria:
Loglikelihood user model (H0) -5780.166 -5780.166
Scaling correction factor 0.989
for the MLR correction
Loglikelihood unrestricted model (H1) -5762.120 -5762.120
Scaling correction factor 0.993
for the MLR correction
Akaike (AIC) 11642.331 11642.331
Bayesian (BIC) 11805.981 11805.981
Sample-size adjusted Bayesian (SABIC) 11675.885 11675.885
Root Mean Square Error of Approximation:
RMSEA 0.035 0.036
90 Percent confidence interval - lower 0.000 0.000
90 Percent confidence interval - upper 0.058 0.058
P-value H_0: RMSEA <= 0.050 0.841 0.840
P-value H_0: RMSEA >= 0.080 0.000 0.000
Robust RMSEA 0.041
90 Percent confidence interval - lower 0.019
90 Percent confidence interval - upper 0.060
P-value H_0: Robust RMSEA <= 0.050 0.768
P-value H_0: Robust RMSEA >= 0.080 0.000
Standardized Root Mean Square Residual:
SRMR 0.029 0.029
Parameter Estimates:
Standard errors Sandwich
Information bread Observed
Observed information based on Hessian
Latent Variables:
Estimate Std.Err z-value P(>|z|) Std.lv Std.all
intercept =~
t1 1.000 1.383 0.874
t2 1.000 1.383 0.655
t3 1.000 1.383 0.508
t4 1.000 1.383 0.410
slope =~
t1 0.000 0.000 0.000
t2 1.000 0.787 0.373
t3 2.000 1.573 0.578
t4 3.000 2.360 0.699
knot =~
t1 0.000 0.000 0.000
t2 0.000 0.000 0.000
t3 1.000 0.059 0.022
t4 1.000 0.059 0.017
Regressions:
Estimate Std.Err z-value P(>|z|) Std.lv Std.all
intercept ~
x1 0.604 0.059 10.254 0.000 0.437 0.451
x2 0.601 0.061 9.824 0.000 0.435 0.422
slope ~
x1 0.280 0.042 6.705 0.000 0.356 0.367
x2 0.535 0.043 12.349 0.000 0.680 0.660
knot ~
x1 -0.044 0.077 -0.572 0.568 -0.746 -0.770
x2 -0.033 0.088 -0.372 0.710 -0.555 -0.539
t1 ~
c1 0.143 0.045 3.194 0.001 0.143 0.089
t2 ~
c2 0.287 0.047 6.129 0.000 0.287 0.129
t3 ~
c3 0.336 0.047 7.074 0.000 0.336 0.115
t4 ~
c4 0.333 0.057 5.871 0.000 0.333 0.091
Covariances:
Estimate Std.Err z-value P(>|z|) Std.lv Std.all
.intercept ~~
.knot 0.000 NaN NaN
.slope ~~
.knot 0.000 NaN NaN
.intercept ~~
.slope 0.075 0.039 1.892 0.059 0.152 0.152
x1 ~~
x2 0.141 0.050 2.798 0.005 0.141 0.140
c1 -0.039 0.051 -0.762 0.446 -0.039 -0.038
c2 0.023 0.048 0.493 0.622 0.023 0.024
c3 0.027 0.050 0.544 0.586 0.027 0.028
c4 -0.023 0.045 -0.519 0.604 -0.023 -0.024
x2 ~~
c1 -0.018 0.050 -0.358 0.721 -0.018 -0.019
c2 -0.003 0.044 -0.075 0.940 -0.003 -0.004
c3 0.155 0.048 3.239 0.001 0.155 0.170
c4 -0.104 0.043 -2.421 0.015 -0.104 -0.116
c1 ~~
c2 0.080 0.045 1.793 0.073 0.080 0.086
c3 -0.030 0.050 -0.585 0.559 -0.030 -0.032
c4 0.127 0.048 2.668 0.008 0.127 0.140
c2 ~~
c3 0.003 0.041 0.078 0.938 0.003 0.004
c4 0.031 0.044 0.715 0.475 0.031 0.036
c3 ~~
c4 0.034 0.044 0.767 0.443 0.034 0.039
Intercepts:
Estimate Std.Err z-value P(>|z|) Std.lv Std.all
.intercept 0.565 0.061 9.265 0.000 0.409 0.409
.slope 1.025 0.042 24.178 0.000 1.303 1.303
.knot -0.167 0.081 -2.058 0.040 -2.839 -2.839
Variances:
Estimate Std.Err z-value P(>|z|) Std.lv Std.all
.knot 0.000 0.000 0.000
.t1 0.581 0.091 6.403 0.000 0.581 0.232
.t2 0.591 0.055 10.763 0.000 0.591 0.133
.t3 0.475 0.051 9.390 0.000 0.475 0.064
.t4 0.538 0.093 5.768 0.000 0.538 0.047
.intercept 1.080 0.108 10.010 0.000 0.565 0.565
.slope 0.224 0.027 8.392 0.000 0.361 0.361
x1 1.064 0.068 15.614 0.000 1.064 1.000
x2 0.943 0.065 14.401 0.000 0.943 1.000
c1 0.972 0.064 15.306 0.000 0.972 1.000
c2 0.900 0.063 14.372 0.000 0.900 1.000
c3 0.876 0.067 13.041 0.000 0.876 1.000
c4 0.852 0.057 15.005 0.000 0.852 1.000
R-Square:
Estimate
knot 1.000
t1 0.768
t2 0.867
t3 0.936
t4 0.953
intercept 0.435
slope 0.639
summary(
splineGCM2_fit,
fit.measures = TRUE,
standardized = TRUE,
rsquare = TRUE)
lavaan 0.6-20 ended normally after 39 iterations
Estimator ML
Optimization method NLMINB
Number of model parameters 47
Number of observations 400
Number of missing patterns 1
Model Test User Model:
Standard Scaled
Test Statistic 21.375 21.504
Degrees of freedom 18 18
P-value (Chi-square) 0.261 0.255
Scaling correction factor 0.994
Yuan-Bentler correction (Mplus variant)
Model Test Baseline Model:
Test statistic 2345.885 2414.540
Degrees of freedom 30 30
P-value 0.000 0.000
Scaling correction factor 0.972
User Model versus Baseline Model:
Comparative Fit Index (CFI) 0.999 0.999
Tucker-Lewis Index (TLI) 0.998 0.998
Robust Comparative Fit Index (CFI) 0.999
Robust Tucker-Lewis Index (TLI) 0.998
Loglikelihood and Information Criteria:
Loglikelihood user model (H0) -5772.808 -5772.808
Scaling correction factor 0.992
for the MLR correction
Loglikelihood unrestricted model (H1) -5762.120 -5762.120
Scaling correction factor 0.993
for the MLR correction
Akaike (AIC) 11639.615 11639.615
Bayesian (BIC) 11827.214 11827.214
Sample-size adjusted Bayesian (SABIC) 11678.080 11678.080
Root Mean Square Error of Approximation:
RMSEA 0.022 0.022
90 Percent confidence interval - lower 0.000 0.000
90 Percent confidence interval - upper 0.052 0.052
P-value H_0: RMSEA <= 0.050 0.938 0.935
P-value H_0: RMSEA >= 0.080 0.000 0.000
Robust RMSEA 0.022
90 Percent confidence interval - lower 0.000
90 Percent confidence interval - upper 0.052
P-value H_0: Robust RMSEA <= 0.050 0.938
P-value H_0: Robust RMSEA >= 0.080 0.000
Standardized Root Mean Square Residual:
SRMR 0.013 0.013
Parameter Estimates:
Standard errors Sandwich
Information bread Observed
Observed information based on Hessian
Latent Variables:
Estimate Std.Err z-value P(>|z|) Std.lv Std.all
intercept =~
t1 1.000 1.382 0.874
t2 1.000 1.382 0.655
t3 1.000 1.382 0.508
t4 1.000 1.382 0.410
slope =~
t1 0.000 0.000 0.000
t2 1.000 0.785 0.372
t3 2.000 1.570 0.577
t4 3.000 2.355 0.699
knot =~
t1 0.000 0.000 0.000
t2 0.000 0.000 0.000
t3 1.000 0.059 0.022
t4 1.000 0.059 0.017
Regressions:
Estimate Std.Err z-value P(>|z|) Std.lv Std.all
intercept ~
x1 0.604 0.059 10.254 0.000 0.437 0.449
x2 0.601 0.061 9.824 0.000 0.435 0.418
slope ~
x1 0.280 0.042 6.705 0.000 0.356 0.366
x2 0.535 0.043 12.349 0.000 0.681 0.655
knot ~
x1 -0.044 0.077 -0.572 0.568 -0.746 -0.767
x2 -0.033 0.088 -0.372 0.710 -0.555 -0.534
t1 ~
c1 0.143 0.045 3.194 0.001 0.143 0.089
t2 ~
c2 0.287 0.047 6.129 0.000 0.287 0.129
t3 ~
c3 0.336 0.047 7.074 0.000 0.336 0.115
t4 ~
c4 0.333 0.057 5.871 0.000 0.333 0.091
Covariances:
Estimate Std.Err z-value P(>|z|) Std.lv Std.all
.intercept ~~
.knot 0.000 NaN NaN
.slope ~~
.knot 0.000 NaN NaN
.intercept ~~
.slope 0.075 0.039 1.892 0.059 0.152 0.152
x1 ~~
x2 0.153 0.049 3.129 0.002 0.153 0.155
c1 -0.038 0.050 -0.760 0.447 -0.038 -0.037
c2 0.026 0.048 0.547 0.585 0.026 0.027
c3 0.033 0.049 0.674 0.501 0.033 0.035
c4 -0.025 0.044 -0.560 0.575 -0.025 -0.026
x2 ~~
c1 -0.019 0.050 -0.377 0.706 -0.019 -0.020
c2 -0.007 0.044 -0.167 0.867 -0.007 -0.008
c3 0.145 0.048 3.055 0.002 0.145 0.162
c4 -0.102 0.043 -2.371 0.018 -0.102 -0.115
c1 ~~
c2 0.080 0.045 1.789 0.074 0.080 0.085
c3 -0.030 0.050 -0.596 0.551 -0.030 -0.033
c4 0.128 0.048 2.669 0.008 0.128 0.140
c2 ~~
c3 0.001 0.042 0.030 0.976 0.001 0.001
c4 0.032 0.044 0.729 0.466 0.032 0.036
c3 ~~
c4 0.035 0.044 0.796 0.426 0.035 0.041
Intercepts:
Estimate Std.Err z-value P(>|z|) Std.lv Std.all
.t1 0.000 0.000 0.000
.t2 0.000 0.000 0.000
.t3 0.000 0.000 0.000
.t4 0.000 0.000 0.000
.intercept 0.565 0.061 9.265 0.000 0.409 0.409
.slope 1.025 0.042 24.178 0.000 1.305 1.305
.knot -0.167 0.081 -2.058 0.040 -2.839 -2.839
x1 -0.092 0.051 -1.793 0.073 -0.092 -0.090
x2 0.138 0.048 2.878 0.004 0.138 0.144
c1 0.008 0.049 0.158 0.874 0.008 0.008
c2 0.029 0.047 0.610 0.542 0.029 0.031
c3 0.068 0.047 1.449 0.147 0.068 0.072
c4 -0.018 0.046 -0.390 0.696 -0.018 -0.020
Variances:
Estimate Std.Err z-value P(>|z|) Std.lv Std.all
.knot 0.000 0.000 0.000
.t1 0.581 0.091 6.403 0.000 0.581 0.232
.t2 0.591 0.055 10.763 0.000 0.591 0.133
.t3 0.475 0.051 9.390 0.000 0.475 0.064
.t4 0.538 0.093 5.768 0.000 0.538 0.047
.intercept 1.080 0.108 10.010 0.000 0.565 0.565
.slope 0.224 0.027 8.392 0.000 0.363 0.363
x1 1.056 0.068 15.511 0.000 1.056 1.000
x2 0.924 0.065 14.153 0.000 0.924 1.000
c1 0.972 0.063 15.321 0.000 0.972 1.000
c2 0.899 0.062 14.432 0.000 0.899 1.000
c3 0.872 0.067 13.018 0.000 0.872 1.000
c4 0.851 0.057 15.001 0.000 0.851 1.000
R-Square:
Estimate
knot 1.000
t1 0.768
t2 0.867
t3 0.936
t4 0.953
intercept 0.435
slope 0.637
fitMeasures(
splineGCM1_fit,
fit.measures = c(
"chisq", "df", "pvalue",
"chisq.scaled", "df.scaled", "pvalue.scaled",
"chisq.scaling.factor",
"baseline.chisq","baseline.df","baseline.pvalue",
"rmsea", "cfi", "tli", "srmr",
"rmsea.robust", "cfi.robust", "tli.robust"))
Warning: lavaan->lav_partable_check():
automatically added intercepts are set to zero: ("x1", "x2", "c1", "c2",
"c3", "c4")
Warning: lavaan->lav_partable_check():
automatically added intercepts are set to zero: ("x1", "x2", "c1", "c2",
"c3", "c4")
chisq df pvalue
36.091 24.000 0.054
chisq.scaled df.scaled pvalue.scaled
36.117 24.000 0.053
chisq.scaling.factor baseline.chisq baseline.df
0.999 2345.885 30.000
baseline.pvalue rmsea cfi
0.000 0.035 0.995
tli srmr rmsea.robust
0.993 0.029 0.041
cfi.robust tli.robust
0.993 0.991
residuals(
splineGCM1_fit,
type = "cor")
$type
[1] "cor.bollen"
$cov
t1 t2 t3 t4 x1 x2 c1 c2 c3 c4
t1 0.000
t2 0.010 0.000
t3 -0.011 -0.002 0.000
t4 0.014 0.000 0.002 0.000
x1 0.009 -0.001 0.005 0.009 0.000
x2 -0.004 0.002 0.003 -0.003 0.015 0.000
c1 0.005 0.018 0.001 0.056 0.001 -0.001 0.000
c2 0.006 -0.004 -0.007 -0.005 0.003 -0.004 0.000 0.000
c3 0.046 0.018 0.027 0.030 0.007 -0.008 -0.001 -0.002 0.000
c4 0.038 0.027 0.001 0.005 -0.002 0.002 0.000 0.001 0.002 0.000
$mean
t1 t2 t3 t4 x1 x2 c1 c2 c3 c4
0.019 0.039 0.053 0.049 -0.090 0.144 0.008 0.031 0.072 -0.020
modificationindices(
splineGCM1_fit,
sort. = TRUE)
compRelSEM(splineGCM1_fit)
named numeric(0)
semPlot::semPaths(
splineGCM1_fit,
what = "Std.all",
layout = "tree2",
edge.label.cex = 1.5)
Warning in qgraph::qgraph(Edgelist, labels = nLab, bidirectional = Bidir, :
Non-finite weights are omitted

lavaanPlot::lavaanPlot(
splineGCM1_fit,
coefs = TRUE,
#covs = TRUE,
stand = TRUE)
lavaanPlot::lavaanPlot2(
splineGCM1_fit,
#stand = TRUE, # currently throws error; uncomment out when fixed: https://github.com/alishinski/lavaanPlot/issues/52
coef_labels = TRUE)
To generate an interactive/modifiable path diagram, you can use the following syntax:
lavaangui::plot_lavaan(splineGCM1_fit)
Calculated from intercept and slope parameters:
splineGCM1_intercept <- coef(splineGCM1_fit)["intercept~1"]
splineGCM1_slope <- coef(splineGCM1_fit)["slope~1"]
splineGCM1_knot <- coef(splineGCM1_fit)["knot~1"]
timepoints <- 4
newData <- data.frame(
time = 1:4,
linearLoading = c(0, 1, 2, 3),
knotLoading = c(0, 0, 1, 1)
)
newData$predictedValue <- NA
newData$predictedValue <- splineGCM1_intercept + (splineGCM1_slope * newData$linearLoading) + (splineGCM1_knot * newData$knotLoading)
ggplot(
data = newData,
mapping = aes(
x = time,
y = predictedValue)) +
xlab("Timepoint") +
ylab("Score") +
scale_y_continuous(
limits = c(0, 5)) +
geom_line()

person_factors <- as.data.frame(predict(splineGCM1_fit))
person_factors$id <- rownames(person_factors)
slope_loadings <- c(0, 1, 2, 3)
knot_loadings <- c(0, 0, 1, 1)
# Compute model-implied values for each person at each time point
individual_trajectories <- person_factors %>%
rowwise() %>%
mutate(
t1 = intercept + (slope * slope_loadings[1]) + (knot * knot_loadings[1]),
t2 = intercept + (slope * slope_loadings[2]) + (knot * knot_loadings[2]),
t3 = intercept + (slope * slope_loadings[3]) + (knot * knot_loadings[3]),
t4 = intercept + (slope * slope_loadings[4]) + (knot * knot_loadings[4])
) %>%
ungroup() %>%
select(id, t1, t2, t3, t4) %>%
pivot_longer(
cols = t1:t4,
names_to = "timepoint",
values_to = "value") %>%
mutate(
time = as.integer(substr(timepoint, 2, 2)) # extract number from "t1", "t2", etc.
)
ggplot(
data = individual_trajectories,
mapping = aes(
x = time,
y = value,
group = factor(id))) +
xlab("Timepoint") +
ylab("Score") +
scale_y_continuous(
limits = c(-10, 20)) +
geom_line()

ggplot() +
geom_line( # individuals' model-implied trajectories
data = individual_trajectories,
aes(
x = time,
y = value,
group = id),
) +
geom_line( # prototypical trajectory
data = newData,
aes(
x = time,
y = predictedValue),
color = "blue",
linewidth = 2
)

https://tdjorgensen.github.io/SEM-in-Ed-compendium/ch27.html#saturated-growth-model
To generate the syntax for a latent change score model, we use the lcsm package.
bivariateLCSM_syntax <- specify_bi_lcsm(
timepoints = 3,
var_x = "x",
model_x = list(
alpha_constant = TRUE, # alpha = intercept (constant change factor)
beta = TRUE, # beta = proportional change factor (latent true score predicting its change score)
phi = TRUE), # phi = autoregression of change scores
var_y = "y",
model_y = list(
alpha_constant = TRUE, # alpha = intercept (constant change factor)
beta = TRUE, # beta = proportional change factor (latent true score predicting its change score)
phi = TRUE), # phi = autoregression of change scores
coupling = list(
delta_lag_xy = TRUE,
delta_lag_yx = TRUE),
change_letter_x = "g",
change_letter_y = "j")
cat(bivariateLCSM_syntax)
# # # # # # # # # # # # # # # # # # # # #
# Specify parameters for construct x ----
# # # # # # # # # # # # # # # # # # # # #
# Specify latent true scores
lx1 =~ 1 * x1
lx2 =~ 1 * x2
lx3 =~ 1 * x3
# Specify mean of latent true scores
lx1 ~ gamma_lx1 * 1
lx2 ~ 0 * 1
lx3 ~ 0 * 1
# Specify variance of latent true scores
lx1 ~~ sigma2_lx1 * lx1
lx2 ~~ 0 * lx2
lx3 ~~ 0 * lx3
# Specify intercept of obseved scores
x1 ~ 0 * 1
x2 ~ 0 * 1
x3 ~ 0 * 1
# Specify variance of observed scores
x1 ~~ sigma2_ux * x1
x2 ~~ sigma2_ux * x2
x3 ~~ sigma2_ux * x3
# Specify autoregressions of latent variables
lx2 ~ 1 * lx1
lx3 ~ 1 * lx2
# Specify latent change scores
dx2 =~ 1 * lx2
dx3 =~ 1 * lx3
# Specify latent change scores means
dx2 ~ 0 * 1
dx3 ~ 0 * 1
# Specify latent change scores variances
dx2 ~~ 0 * dx2
dx3 ~~ 0 * dx3
# Specify constant change factor
g2 =~ 1 * dx2 + 1 * dx3
# Specify constant change factor mean
g2 ~ alpha_g2 * 1
# Specify constant change factor variance
g2 ~~ sigma2_g2 * g2
# Specify constant change factor covariance with the initial true score
g2 ~~ sigma_g2lx1 * lx1
# Specify proportional change component
dx2 ~ beta_x * lx1
dx3 ~ beta_x * lx2
# Specify autoregression of change score
dx3 ~ phi_x * dx2
# # # # # # # # # # # # # # # # # # # # #
# Specify parameters for construct y ----
# # # # # # # # # # # # # # # # # # # # #
# Specify latent true scores
ly1 =~ 1 * y1
ly2 =~ 1 * y2
ly3 =~ 1 * y3
# Specify mean of latent true scores
ly1 ~ gamma_ly1 * 1
ly2 ~ 0 * 1
ly3 ~ 0 * 1
# Specify variance of latent true scores
ly1 ~~ sigma2_ly1 * ly1
ly2 ~~ 0 * ly2
ly3 ~~ 0 * ly3
# Specify intercept of obseved scores
y1 ~ 0 * 1
y2 ~ 0 * 1
y3 ~ 0 * 1
# Specify variance of observed scores
y1 ~~ sigma2_uy * y1
y2 ~~ sigma2_uy * y2
y3 ~~ sigma2_uy * y3
# Specify autoregressions of latent variables
ly2 ~ 1 * ly1
ly3 ~ 1 * ly2
# Specify latent change scores
dy2 =~ 1 * ly2
dy3 =~ 1 * ly3
# Specify latent change scores means
dy2 ~ 0 * 1
dy3 ~ 0 * 1
# Specify latent change scores variances
dy2 ~~ 0 * dy2
dy3 ~~ 0 * dy3
# Specify constant change factor
j2 =~ 1 * dy2 + 1 * dy3
# Specify constant change factor mean
j2 ~ alpha_j2 * 1
# Specify constant change factor variance
j2 ~~ sigma2_j2 * j2
# Specify constant change factor covariance with the initial true score
j2 ~~ sigma_j2ly1 * ly1
# Specify proportional change component
dy2 ~ beta_y * ly1
dy3 ~ beta_y * ly2
# Specify autoregression of change score
dy3 ~ phi_y * dy2
# Specify residual covariances
x1 ~~ sigma_su * y1
x2 ~~ sigma_su * y2
x3 ~~ sigma_su * y3
# # # # # # # # # # # # # # # # # # # # # # # # # # # # # # # # # # # # # # # # # # # # # # # # # # # # # # # # # # # # # # # #
# Specify covariances betweeen specified change components (alpha) and intercepts (initial latent true scores lx1 and ly1) ----
# # # # # # # # # # # # # # # # # # # # # # # # # # # # # # # # # # # # # # # # # # # # # # # # # # # # # # # # # # # # # # # #
# Specify covariance of intercepts
lx1 ~~ sigma_ly1lx1 * ly1
# Specify covariance of constant change and intercept between constructs
ly1 ~~ sigma_g2ly1 * g2
# Specify covariance of constant change and intercept between constructs
lx1 ~~ sigma_j2lx1 * j2
# Specify covariance of constant change factors between constructs
g2 ~~ sigma_j2g2 * j2
# # # # # # # # # # # # # # # # # # # # # # # # # # #
# Specify between-construct coupling parameters ----
# # # # # # # # # # # # # # # # # # # # # # # # # # #
# Change score x (t) is determined by true score y (t-1)
dx2 ~ delta_lag_xy * ly1
dx3 ~ delta_lag_xy * ly2
# Change score y (t) is determined by true score x (t-1)
dy2 ~ delta_lag_yx * lx1
dy3 ~ delta_lag_yx * lx2
bivariateLCSM_fit <- fit_bi_lcsm(
data = data_bi_lcsm,
var_x = names(data_bi_lcsm)[2:4],
var_y = names(data_bi_lcsm)[12:14],
model_x = list(
alpha_constant = TRUE, # alpha = intercept (constant change factor)
beta = TRUE, # beta = proportional change factor (latent true score predicting its change score)
phi = TRUE), # phi = autoregression of change scores
model_y = list(
alpha_constant = TRUE, # alpha = intercept (constant change factor)
beta = TRUE, # beta = proportional change factor (latent true score predicting its change score)
phi = TRUE), # phi = autoregression of change scores
coupling = list(
delta_lag_xy = TRUE,
xi_lag_yx = TRUE),
fixed.x = FALSE
)
summary(
bivariateLCSM_fit,
fit.measures = TRUE,
standardized = TRUE,
rsquare = TRUE)
lavaan 0.6-20 ended normally after 151 iterations
Estimator ML
Optimization method NLMINB
Number of model parameters 32
Number of equality constraints 9
Number of observations 500
Number of missing patterns 23
Model Test User Model:
Standard Scaled
Test Statistic 6.870 4.777
Degrees of freedom 4 4
P-value (Chi-square) 0.143 0.311
Scaling correction factor 1.438
Yuan-Bentler correction (Mplus variant)
Model Test Baseline Model:
Test statistic 1435.712 1483.655
Degrees of freedom 15 15
P-value 0.000 0.000
Scaling correction factor 0.968
User Model versus Baseline Model:
Comparative Fit Index (CFI) 0.998 0.999
Tucker-Lewis Index (TLI) 0.992 0.998
Robust Comparative Fit Index (CFI) 0.999
Robust Tucker-Lewis Index (TLI) 0.997
Loglikelihood and Information Criteria:
Loglikelihood user model (H0) -2973.817 -2973.817
Scaling correction factor 0.639
for the MLR correction
Loglikelihood unrestricted model (H1) -2970.382 -2970.382
Scaling correction factor 0.971
for the MLR correction
Akaike (AIC) 5993.634 5993.634
Bayesian (BIC) 6090.570 6090.570
Sample-size adjusted Bayesian (SABIC) 6017.567 6017.567
Root Mean Square Error of Approximation:
RMSEA 0.038 0.020
90 Percent confidence interval - lower 0.000 0.000
90 Percent confidence interval - upper 0.085 0.065
P-value H_0: RMSEA <= 0.050 0.599 0.835
P-value H_0: RMSEA >= 0.080 0.073 0.009
Robust RMSEA 0.024
90 Percent confidence interval - lower 0.000
90 Percent confidence interval - upper 0.094
P-value H_0: Robust RMSEA <= 0.050 0.637
P-value H_0: Robust RMSEA >= 0.080 0.114
Standardized Root Mean Square Residual:
SRMR 0.031 0.031
Parameter Estimates:
Standard errors Sandwich
Information bread Observed
Observed information based on Hessian
Latent Variables:
Estimate Std.Err z-value P(>|z|) Std.lv Std.all
lx1 =~
x1 1.000 0.719 0.867
lx2 =~
x2 1.000 1.069 0.933
lx3 =~
x3 1.000 1.559 0.967
dx2 =~
lx2 1.000 0.600 0.600
dx3 =~
lx3 1.000 0.374 0.374
g2 =~
dx2 1.000 1.027 1.027
dx3 1.000 1.128 1.128
ly1 =~
y1 1.000 0.485 0.755
ly2 =~
y2 1.000 0.506 0.769
ly3 =~
y3 1.000 0.756 0.874
dy2 =~
ly2 1.000 0.619 0.619
dy3 =~
ly3 1.000 0.510 0.510
j2 =~
dy2 1.000 1.037 1.037
dy3 1.000 0.844 0.844
Regressions:
Estimate Std.Err z-value P(>|z|) Std.lv Std.all
lx2 ~
lx1 1.000 0.673 0.673
lx3 ~
lx2 1.000 0.685 0.685
dx2 ~
lx1 (bt_x) -0.115 0.026 -4.469 0.000 -0.129 -0.129
dx3 ~
lx2 (bt_x) -0.115 0.026 -4.469 0.000 -0.211 -0.211
dx2 (ph_x) 0.025 0.041 0.613 0.540 0.027 0.027
ly2 ~
ly1 1.000 0.958 0.958
ly3 ~
ly2 1.000 0.669 0.669
dy2 ~
ly1 (bt_y) -0.406 0.070 -5.778 0.000 -0.628 -0.628
dy3 ~
ly2 (bt_y) -0.406 0.069 -5.900 0.000 -0.533 -0.533
dy2 (ph_y) 0.501 0.115 4.371 0.000 0.407 0.407
dx2 ~
ly1 (dl__) 0.055 0.109 0.506 0.613 0.042 0.042
dx3 ~
ly2 (dl__) 0.055 0.109 0.506 0.613 0.048 0.048
dy3 ~
dx2 (x_l_) 0.269 0.080 3.370 0.001 0.448 0.448
Covariances:
Estimate Std.Err z-value P(>|z|) Std.lv Std.all
lx1 ~~
g2 (sgm_g2lx1) 0.156 0.030 5.149 0.000 0.328 0.328
ly1 ~~
j2 (sgm_j2ly1) 0.057 0.011 4.989 0.000 0.361 0.361
.x1 ~~
.y1 (sgm_) 0.011 0.009 1.275 0.202 0.011 0.063
.x2 ~~
.y2 (sgm_) 0.011 0.009 1.275 0.202 0.011 0.063
.x3 ~~
.y3 (sgm_) 0.011 0.009 1.275 0.202 0.011 0.063
lx1 ~~
l1 (s_11) 0.196 0.026 7.639 0.000 0.562 0.562
g2 ~~
l1 (sgm_g2ly1) 0.075 0.029 2.569 0.010 0.235 0.235
lx1 ~~
j2 (sgm_j2lx1) 0.128 0.017 7.455 0.000 0.549 0.549
g2 ~~
j2 (s_22) 0.040 0.019 2.132 0.033 0.187 0.187
Intercepts:
Estimate Std.Err z-value P(>|z|) Std.lv Std.all
lx1 (gmm_lx1) 21.079 0.038 559.652 0.000 29.307 29.307
.lx2 0.000 0.000 0.000
.lx3 0.000 0.000 0.000
.x1 0.000 0.000 0.000
.x2 0.000 0.000 0.000
.x3 0.000 0.000 0.000
.dx2 0.000 0.000 0.000
.dx3 0.000 0.000 0.000
g2 (alph_g2) 0.273 0.008 35.188 0.000 0.415 0.415
ly1 (gmm_ly1) 5.027 0.030 167.731 0.000 10.373 10.373
.ly2 0.000 0.000 0.000
.ly3 0.000 0.000 0.000
.y1 0.000 0.000 0.000
.y2 0.000 0.000 0.000
.y3 0.000 0.000 0.000
.dy2 0.000 0.000 0.000
.dy3 0.000 0.000 0.000
j2 (alph_j2) 0.848 0.376 2.256 0.024 2.609 2.609
Variances:
Estimate Std.Err z-value P(>|z|) Std.lv Std.all
lx1 (sgm2_lx1) 0.517 0.042 12.414 0.000 1.000 1.000
.lx2 0.000 0.000 0.000
.lx3 0.000 0.000 0.000
.x1 (sgm2_x) 0.171 0.011 15.607 0.000 0.171 0.248
.x2 (sgm2_x) 0.171 0.011 15.607 0.000 0.171 0.130
.x3 (sgm2_x) 0.171 0.011 15.607 0.000 0.171 0.066
.dx2 0.000 0.000 0.000
.dx3 0.000 0.000 0.000
g2 (sgm2_g2) 0.434 0.038 11.298 0.000 1.000 1.000
ly1 (sgm2_ly1) 0.235 0.028 8.532 0.000 1.000 1.000
.ly2 0.000 0.000 0.000
.ly3 0.000 0.000 0.000
.y1 (sgm2_y) 0.177 0.012 14.979 0.000 0.177 0.429
.y2 (sgm2_y) 0.177 0.012 14.979 0.000 0.177 0.408
.y3 (sgm2_y) 0.177 0.012 14.979 0.000 0.177 0.236
.dy2 0.000 0.000 0.000
.dy3 0.000 0.000 0.000
j2 (sgm2_j2) 0.106 0.016 6.759 0.000 1.000 1.000
R-Square:
Estimate
lx2 1.000
lx3 1.000
x1 0.752
x2 0.870
x3 0.934
dx2 1.000
dx3 1.000
ly2 1.000
ly3 1.000
y1 0.571
y2 0.592
y3 0.764
dy2 1.000
dy3 1.000
fitMeasures(
bivariateLCSM_fit,
fit.measures = c(
"chisq", "df", "pvalue",
"chisq.scaled", "df.scaled", "pvalue.scaled",
"chisq.scaling.factor",
"baseline.chisq","baseline.df","baseline.pvalue",
"rmsea", "cfi", "tli", "srmr",
"rmsea.robust", "cfi.robust", "tli.robust"))
chisq df pvalue
6.870 4.000 0.143
chisq.scaled df.scaled pvalue.scaled
4.777 4.000 0.311
chisq.scaling.factor baseline.chisq baseline.df
1.438 1435.712 15.000
baseline.pvalue rmsea cfi
0.000 0.038 0.998
tli srmr rmsea.robust
0.992 0.031 0.024
cfi.robust tli.robust
0.999 0.997
residuals(
bivariateLCSM_fit,
type = "cor")
$type
[1] "cor.bollen"
$cov
x1 x2 x3 y1 y2 y3
x1 0.000
x2 -0.002 0.000
x3 -0.002 0.001 0.000
y1 0.031 -0.017 0.018 0.000
y2 -0.013 -0.035 -0.004 -0.001 0.000
y3 0.013 0.000 0.006 0.010 -0.006 0.000
$mean
x1 x2 x3 y1 y2 y3
-0.001 0.001 0.000 0.000 -0.004 0.001
modificationindices(
bivariateLCSM_fit,
sort. = TRUE)
Warning: lavaan->modificationindices():
the modindices() function ignores equality constraints; use lavTestScore()
to assess the impact of releasing one or multiple constraints.
semPaths(
bivariateLCSM_fit,
what = "Std.all",
layout = "tree2",
edge.label.cex = 1.5)

plot_lcsm(
lavaan_object = bivariateLCSM_fit,
lcsm = "bivariate",
lavaan_syntax = bivariateLCSM_syntax,
edge.label.cex = .9,
lcsm_colours = TRUE)

#lavaanPlot::lavaanPlot( # throws error
# bivariateLCSM_fit,
# coefs = TRUE,
# #covs = TRUE,
# stand = TRUE)
lavaanPlot::lavaanPlot2(
bivariateLCSM_fit,
stand = TRUE,
coef_labels = TRUE)
To generate an interactive/modifiable path diagram, you can use the following syntax:
lavaangui::plot_lavaan(bivariateLCSM_fit)
plot_trajectories(
data_bi_lcsm,
id_var = "id",
var_list = c(
"x1", "x2", "x3", "x4", "x5",
"x6", "x7", "x8", "x9", "x10"),
xlab = "Time",
ylab = "X Score",
connect_missing = FALSE)
Warning: Removed 53 rows containing missing values or values outside the scale range
(`geom_line()`).
Warning: Removed 260 rows containing missing values or values outside the scale range
(`geom_point()`).

plot_trajectories(
data_bi_lcsm,
id_var = "id",
var_list = c(
"y1", "y2", "y3", "y4", "y5",
"y6", "y7", "y8", "y9", "y10"),
xlab = "Time",
ylab = "Y Score",
connect_missing = FALSE)
Warning: Removed 111 rows containing missing values or values outside the scale range
(`geom_line()`).
Warning: Removed 505 rows containing missing values or values outside the scale range
(`geom_point()`).

clpm_syntax <- '
# Autoregressive Paths
t4 ~ t3
t3 ~ t2
t2 ~ t1
c4 ~ c3
c3 ~ c2
c2 ~ c1
# Concurrent Covariances
t1 ~~ c1
t2 ~~ c2
t3 ~~ c3
t4 ~~ c4
# Cross-Lagged Paths
t4 ~ c3
t3 ~ c2
t2 ~ c1
c4 ~ t3
c3 ~ t2
c2 ~ t1
'
clpm_fit <- sem(
clpm_syntax,
data = Demo.growth,
missing = "ML",
estimator = "MLR",
meanstructure = TRUE,
std.lv = TRUE,
fixed.x = FALSE,
em.h1.iter.max = 100000)
summary(
clpm_fit,
fit.measures = TRUE,
standardized = TRUE,
rsquare = TRUE)
lavaan 0.6-20 ended normally after 25 iterations
Estimator ML
Optimization method NLMINB
Number of model parameters 32
Number of observations 400
Number of missing patterns 1
Model Test User Model:
Standard Scaled
Test Statistic 55.624 54.099
Degrees of freedom 12 12
P-value (Chi-square) 0.000 0.000
Scaling correction factor 1.028
Yuan-Bentler correction (Mplus variant)
Model Test Baseline Model:
Test statistic 1933.670 1953.262
Degrees of freedom 28 28
P-value 0.000 0.000
Scaling correction factor 0.990
User Model versus Baseline Model:
Comparative Fit Index (CFI) 0.977 0.978
Tucker-Lewis Index (TLI) 0.947 0.949
Robust Comparative Fit Index (CFI) 0.977
Robust Tucker-Lewis Index (TLI) 0.947
Loglikelihood and Information Criteria:
Loglikelihood user model (H0) -4885.800 -4885.800
Scaling correction factor 1.001
for the MLR correction
Loglikelihood unrestricted model (H1) -4857.988 -4857.988
Scaling correction factor 1.008
for the MLR correction
Akaike (AIC) 9835.601 9835.601
Bayesian (BIC) 9963.328 9963.328
Sample-size adjusted Bayesian (SABIC) 9861.790 9861.790
Root Mean Square Error of Approximation:
RMSEA 0.095 0.094
90 Percent confidence interval - lower 0.071 0.069
90 Percent confidence interval - upper 0.121 0.119
P-value H_0: RMSEA <= 0.050 0.002 0.002
P-value H_0: RMSEA >= 0.080 0.856 0.832
Robust RMSEA 0.095
90 Percent confidence interval - lower 0.070
90 Percent confidence interval - upper 0.121
P-value H_0: Robust RMSEA <= 0.050 0.002
P-value H_0: Robust RMSEA >= 0.080 0.849
Standardized Root Mean Square Residual:
SRMR 0.029 0.029
Parameter Estimates:
Standard errors Sandwich
Information bread Observed
Observed information based on Hessian
Regressions:
Estimate Std.Err z-value P(>|z|) Std.lv Std.all
t4 ~
t3 1.183 0.023 51.960 0.000 1.183 0.954
t3 ~
t2 1.135 0.031 36.564 0.000 1.135 0.885
t2 ~
t1 1.040 0.047 21.910 0.000 1.040 0.773
c4 ~
c3 0.063 0.051 1.227 0.220 0.063 0.063
c3 ~
c2 -0.015 0.046 -0.319 0.750 -0.015 -0.015
c2 ~
c1 0.081 0.046 1.761 0.078 0.081 0.084
t4 ~
c3 -0.323 0.065 -4.935 0.000 -0.323 -0.089
t3 ~
c2 -0.336 0.069 -4.838 0.000 -0.336 -0.117
t2 ~
c1 -0.114 0.065 -1.749 0.080 -0.114 -0.053
c4 ~
t3 -0.030 0.018 -1.717 0.086 -0.030 -0.089
c3 ~
t2 0.053 0.022 2.377 0.017 0.053 0.121
c2 ~
t1 0.009 0.029 0.328 0.743 0.009 0.016
Covariances:
Estimate Std.Err z-value P(>|z|) Std.lv Std.all
t1 ~~
c1 0.114 0.081 1.408 0.159 0.114 0.073
.t2 ~~
.c2 0.244 0.064 3.798 0.000 0.244 0.191
.t3 ~~
.c3 0.376 0.072 5.224 0.000 0.376 0.310
.t4 ~~
.c4 0.268 0.055 4.913 0.000 0.268 0.246
Intercepts:
Estimate Std.Err z-value P(>|z|) Std.lv Std.all
.t4 0.593 0.083 7.110 0.000 0.593 0.176
.t3 0.704 0.086 8.145 0.000 0.704 0.259
.t2 1.056 0.071 14.794 0.000 1.056 0.497
.c4 0.056 0.067 0.835 0.404 0.056 0.061
.c3 -0.021 0.060 -0.351 0.725 -0.021 -0.023
.c2 0.023 0.049 0.465 0.642 0.023 0.024
t1 0.595 0.079 7.531 0.000 0.595 0.377
c1 0.008 0.049 0.158 0.874 0.008 0.008
Variances:
Estimate Std.Err z-value P(>|z|) Std.lv Std.all
.t4 1.416 0.092 15.404 0.000 1.416 0.124
.t3 1.703 0.125 13.598 0.000 1.703 0.230
.t2 1.825 0.137 13.275 0.000 1.825 0.405
.c4 0.844 0.056 15.195 0.000 0.844 0.991
.c3 0.859 0.065 13.252 0.000 0.859 0.986
.c2 0.892 0.061 14.608 0.000 0.892 0.992
t1 2.494 0.185 13.450 0.000 2.494 1.000
c1 0.972 0.063 15.321 0.000 0.972 1.000
R-Square:
Estimate
t4 0.876
t3 0.770
t2 0.595
c4 0.009
c3 0.014
c2 0.008
fitMeasures(
clpm_fit,
fit.measures = c(
"chisq", "df", "pvalue",
"chisq.scaled", "df.scaled", "pvalue.scaled",
"chisq.scaling.factor",
"baseline.chisq","baseline.df","baseline.pvalue",
"rmsea", "cfi", "tli", "srmr",
"rmsea.robust", "cfi.robust", "tli.robust"))
chisq df pvalue
55.624 12.000 0.000
chisq.scaled df.scaled pvalue.scaled
54.099 12.000 0.000
chisq.scaling.factor baseline.chisq baseline.df
1.028 1933.670 28.000
baseline.pvalue rmsea cfi
0.000 0.095 0.977
tli srmr rmsea.robust
0.947 0.029 0.095
cfi.robust tli.robust
0.977 0.947
residuals(
clpm_fit,
type = "cor")
$type
[1] "cor.bollen"
$cov
t4 t3 t2 c4 c3 c2 t1 c1
t4 0.000
t3 0.000 0.000
t2 0.044 0.000 0.000
c4 0.000 0.000 0.030 0.000
c3 0.000 0.000 0.000 0.000 0.000
c2 0.005 0.000 0.000 0.036 0.000 0.000
t1 0.068 0.038 0.000 0.052 0.024 0.000 0.000
c1 0.048 -0.022 0.000 0.140 -0.032 0.000 0.000 0.000
$mean
t4 t3 t2 c4 c3 c2 t1 c1
0 0 0 0 0 0 0 0
modificationindices(
clpm_fit,
sort. = TRUE)
semPaths(
clpm_fit,
what = "Std.all",
layout = "tree2",
edge.label.cex = 1.5)

lavaanPlot::lavaanPlot(
clpm_fit,
coefs = TRUE,
#covs = TRUE,
stand = TRUE)
lavaanPlot::lavaanPlot2(
clpm_fit,
#stand = TRUE, # currently throws error; uncomment out when fixed: https://github.com/alishinski/lavaanPlot/issues/52
coef_labels = TRUE)
To generate an interactive/modifiable path diagram, you can use the following syntax:
lavaangui::plot_lavaan(clpm_fit)
Adapted from Mulder & Hamaker (2021): https://doi.org/10.1080/10705511.2020.1784738
https://jeroendmulder.github.io/RI-CLPM/lavaan.html (archived at https://perma.cc/2K6A-WUJQ)
riclpm1_syntax <- '
# Random Intercepts
t =~ 1*t1 + 1*t2 + 1*t3 + 1*t4
c =~ 1*c1 + 1*c2 + 1*c3 + 1*c4
# Create Within-Person Centered Variables
wt1 =~ 1*t1
wt2 =~ 1*t2
wt3 =~ 1*t3
wt4 =~ 1*t4
wc1 =~ 1*c1
wc2 =~ 1*c2
wc3 =~ 1*c3
wc4 =~ 1*c4
# Autoregressive Paths
wt4 ~ wt3
wt3 ~ wt2
wt2 ~ wt1
wc4 ~ wc3
wc3 ~ wc2
wc2 ~ wc1
# Concurrent Covariances
wt1 ~~ wc1
wt2 ~~ wc2
wt3 ~~ wc3
wt4 ~~ wc4
# Cross-Lagged Paths
wt4 ~ wc3
wt3 ~ wc2
wt2 ~ wc1
wc4 ~ wt3
wc3 ~ wt2
wc2 ~ wt1
# Variance and Covariance of Random Intercepts
t ~~ t
c ~~ c
t ~~ c
# Variances of Within-Person Centered Variables
wt1 ~~ wt1
wt2 ~~ wt2
wt3 ~~ wt3
wt4 ~~ wt4
wc1 ~~ wc1
wc2 ~~ wc2
wc3 ~~ wc3
wc4 ~~ wc4
'
Adapted from Mund & Nestler (2017): https://osf.io/a4dhk
riclpm2_syntax <- '
# Random Intercepts
t =~ 1*t1 + 1*t2 + 1*t3 + 1*t4
c =~ 1*c1 + 1*c2 + 1*c3 + 1*c4
# Create Within-Person Centered Variables
wt1 =~ 1*t1
wt2 =~ 1*t2
wt3 =~ 1*t3
wt4 =~ 1*t4
wc1 =~ 1*c1
wc2 =~ 1*c2
wc3 =~ 1*c3
wc4 =~ 1*c4
# Autoregressive Paths
wt4 ~ wt3
wt3 ~ wt2
wt2 ~ wt1
wc4 ~ wc3
wc3 ~ wc2
wc2 ~ wc1
# Concurrent Covariances
wt1 ~~ wc1
wt2 ~~ wc2
wt3 ~~ wc3
wt4 ~~ wc4
# Cross-Lagged Paths
wt4 ~ wc3
wt3 ~ wc2
wt2 ~ wc1
wc4 ~ wt3
wc3 ~ wt2
wc2 ~ wt1
# Variance and Covariance of Random Intercepts
t ~~ t
c ~~ c
t ~~ c
# Variances of Within-Person Centered Variables
wt1 ~~ wt1
wt2 ~~ wt2
wt3 ~~ wt3
wt4 ~~ wt4
wc1 ~~ wc1
wc2 ~~ wc2
wc3 ~~ wc3
wc4 ~~ wc4
# Fix Error Variances of Observed Variables to Zero
t1 ~~ 0*t1
t2 ~~ 0*t2
t3 ~~ 0*t3
t4 ~~ 0*t4
c1 ~~ 0*c1
c2 ~~ 0*c2
c3 ~~ 0*c3
c4 ~~ 0*c4
# Fix the Covariances Between the Random Intercepts and the Latents at T1 to Zero
wt1 ~~ 0*t
wt1 ~~ 0*c
wc1 ~~ 0*t
wc1 ~~ 0*c
# Estimate Observed Intercepts
t1 ~ 1
t2 ~ 1
t3 ~ 1
t4 ~ 1
c1 ~ 1
c2 ~ 1
c3 ~ 1
c4 ~ 1
# Fix the Means of the Latents to Zero
wt1 ~ 0*1
wt2 ~ 0*1
wt3 ~ 0*1
wt4 ~ 0*1
wc1 ~ 0*1
wc2 ~ 0*1
wc3 ~ 0*1
wc4 ~ 0*1
t ~ 0*1
c ~ 0*1
'
riclpm1_fit <- lavaan(
riclpm1_syntax,
data = Demo.growth,
missing = "ML",
estimator = "MLR",
meanstructure = TRUE,
int.ov.free = TRUE,
fixed.x = FALSE,
em.h1.iter.max = 100000)
Warning: lavaan->lav_object_post_check():
some estimated lv variances are negative
riclpm2_fit <- sem(
riclpm2_syntax,
data = Demo.growth,
missing = "ML",
estimator = "MLR",
fixed.x = FALSE,
em.h1.iter.max = 100000)
Warning: lavaan->lav_object_post_check():
some estimated lv variances are negative
summary(
riclpm1_fit,
fit.measures = TRUE,
standardized = TRUE,
rsquare = TRUE)
lavaan 0.6-20 ended normally after 63 iterations
Estimator ML
Optimization method NLMINB
Number of model parameters 35
Number of observations 400
Number of missing patterns 1
Model Test User Model:
Standard Scaled
Test Statistic 39.156 38.001
Degrees of freedom 9 9
P-value (Chi-square) 0.000 0.000
Scaling correction factor 1.030
Yuan-Bentler correction (Mplus variant)
Model Test Baseline Model:
Test statistic 1933.670 1953.262
Degrees of freedom 28 28
P-value 0.000 0.000
Scaling correction factor 0.990
User Model versus Baseline Model:
Comparative Fit Index (CFI) 0.984 0.985
Tucker-Lewis Index (TLI) 0.951 0.953
Robust Comparative Fit Index (CFI) 0.984
Robust Tucker-Lewis Index (TLI) 0.951
Loglikelihood and Information Criteria:
Loglikelihood user model (H0) -4877.566 -4877.566
Scaling correction factor 1.003
for the MLR correction
Loglikelihood unrestricted model (H1) -4857.988 -4857.988
Scaling correction factor 1.008
for the MLR correction
Akaike (AIC) 9825.132 9825.132
Bayesian (BIC) 9964.833 9964.833
Sample-size adjusted Bayesian (SABIC) 9853.776 9853.776
Root Mean Square Error of Approximation:
RMSEA 0.092 0.090
90 Percent confidence interval - lower 0.063 0.062
90 Percent confidence interval - upper 0.122 0.120
P-value H_0: RMSEA <= 0.050 0.009 0.011
P-value H_0: RMSEA >= 0.080 0.766 0.737
Robust RMSEA 0.091
90 Percent confidence interval - lower 0.062
90 Percent confidence interval - upper 0.122
P-value H_0: Robust RMSEA <= 0.050 0.011
P-value H_0: Robust RMSEA >= 0.080 0.756
Standardized Root Mean Square Residual:
SRMR 0.023 0.023
Parameter Estimates:
Standard errors Sandwich
Information bread Observed
Observed information based on Hessian
Latent Variables:
Estimate Std.Err z-value P(>|z|) Std.lv Std.all
t =~
t1 1.000 NA NA
t2 1.000 NA NA
t3 1.000 NA NA
t4 1.000 NA NA
c =~
c1 1.000 0.206 0.209
c2 1.000 0.206 0.217
c3 1.000 0.206 0.220
c4 1.000 0.206 0.224
wt1 =~
t1 1.000 2.318 1.462
wt2 =~
t2 1.000 2.695 1.284
wt3 =~
t3 1.000 3.219 1.175
wt4 =~
t4 1.000 3.786 1.118
wc1 =~
c1 1.000 0.965 0.978
wc2 =~
c2 1.000 0.927 0.976
wc3 =~
c3 1.000 0.915 0.976
wc4 =~
c4 1.000 0.894 0.975
Regressions:
Estimate Std.Err z-value P(>|z|) Std.lv Std.all
wt4 ~
wt3 1.126 0.029 38.930 0.000 0.957 0.957
wt3 ~
wt2 1.093 0.025 43.596 0.000 0.915 0.915
wt2 ~
wt1 1.005 0.025 40.746 0.000 0.864 0.864
wc4 ~
wc3 0.004 0.061 0.063 0.950 0.004 0.004
wc3 ~
wc2 -0.047 0.056 -0.839 0.401 -0.048 -0.048
wc2 ~
wc1 0.042 0.051 0.816 0.415 0.043 0.043
wt4 ~
wc3 -0.291 0.076 -3.838 0.000 -0.070 -0.070
wt3 ~
wc2 -0.326 0.074 -4.413 0.000 -0.094 -0.094
wt2 ~
wc1 -0.113 0.068 -1.661 0.097 -0.041 -0.041
wc4 ~
wt3 -0.021 0.020 -1.044 0.296 -0.075 -0.075
wc3 ~
wt2 0.020 0.023 0.881 0.378 0.059 0.059
wc2 ~
wt1 -0.010 0.024 -0.420 0.675 -0.025 -0.025
Covariances:
Estimate Std.Err z-value P(>|z|) Std.lv Std.all
wt1 ~~
wc1 -0.007 0.136 -0.054 0.957 -0.003 -0.003
.wt2 ~~
.wc2 0.242 0.064 3.775 0.000 0.193 0.193
.wt3 ~~
.wc3 0.385 0.074 5.191 0.000 0.322 0.322
.wt4 ~~
.wc4 0.238 0.058 4.071 0.000 0.219 0.219
t ~~
c 0.082 0.107 0.761 0.447 0.235 0.235
Intercepts:
Estimate Std.Err z-value P(>|z|) Std.lv Std.all
.t1 0.595 0.079 7.531 0.000 0.595 0.375
.t2 1.673 0.106 15.763 0.000 1.673 0.797
.t3 2.593 0.136 19.058 0.000 2.593 0.947
.t4 3.639 0.169 21.572 0.000 3.639 1.074
.c1 0.008 0.049 0.158 0.874 0.008 0.008
.c2 0.029 0.047 0.610 0.542 0.029 0.030
.c3 0.068 0.047 1.449 0.147 0.068 0.072
.c4 -0.018 0.046 -0.390 0.696 -0.018 -0.020
Variances:
Estimate Std.Err z-value P(>|z|) Std.lv Std.all
t -2.861 1.350 -2.119 0.034 NA NA
c 0.042 0.026 1.637 0.102 1.000 1.000
wt1 5.373 1.412 3.804 0.000 1.000 1.000
.wt2 1.829 0.138 13.209 0.000 0.252 0.252
.wt3 1.719 0.127 13.564 0.000 0.166 0.166
.wt4 1.484 0.097 15.331 0.000 0.103 0.103
wc1 0.931 0.067 13.826 0.000 1.000 1.000
.wc2 0.856 0.065 13.256 0.000 0.997 0.997
.wc3 0.832 0.070 11.817 0.000 0.995 0.995
.wc4 0.795 0.061 13.110 0.000 0.994 0.994
.t1 0.000 0.000 0.000
.t2 0.000 0.000 0.000
.t3 0.000 0.000 0.000
.t4 0.000 0.000 0.000
.c1 0.000 0.000 0.000
.c2 0.000 0.000 0.000
.c3 0.000 0.000 0.000
.c4 0.000 0.000 0.000
R-Square:
Estimate
wt2 0.748
wt3 0.834
wt4 0.897
wc2 0.003
wc3 0.005
wc4 0.006
t1 1.000
t2 1.000
t3 1.000
t4 1.000
c1 1.000
c2 1.000
c3 1.000
c4 1.000
summary(
riclpm2_fit,
fit.measures = TRUE,
standardized = TRUE,
rsquare = TRUE)
lavaan 0.6-20 ended normally after 63 iterations
Estimator ML
Optimization method NLMINB
Number of model parameters 35
Number of observations 400
Number of missing patterns 1
Model Test User Model:
Standard Scaled
Test Statistic 39.156 38.001
Degrees of freedom 9 9
P-value (Chi-square) 0.000 0.000
Scaling correction factor 1.030
Yuan-Bentler correction (Mplus variant)
Model Test Baseline Model:
Test statistic 1933.670 1953.262
Degrees of freedom 28 28
P-value 0.000 0.000
Scaling correction factor 0.990
User Model versus Baseline Model:
Comparative Fit Index (CFI) 0.984 0.985
Tucker-Lewis Index (TLI) 0.951 0.953
Robust Comparative Fit Index (CFI) 0.984
Robust Tucker-Lewis Index (TLI) 0.951
Loglikelihood and Information Criteria:
Loglikelihood user model (H0) -4877.566 -4877.566
Scaling correction factor 1.003
for the MLR correction
Loglikelihood unrestricted model (H1) -4857.988 -4857.988
Scaling correction factor 1.008
for the MLR correction
Akaike (AIC) 9825.132 9825.132
Bayesian (BIC) 9964.833 9964.833
Sample-size adjusted Bayesian (SABIC) 9853.776 9853.776
Root Mean Square Error of Approximation:
RMSEA 0.092 0.090
90 Percent confidence interval - lower 0.063 0.062
90 Percent confidence interval - upper 0.122 0.120
P-value H_0: RMSEA <= 0.050 0.009 0.011
P-value H_0: RMSEA >= 0.080 0.766 0.737
Robust RMSEA 0.091
90 Percent confidence interval - lower 0.062
90 Percent confidence interval - upper 0.122
P-value H_0: Robust RMSEA <= 0.050 0.011
P-value H_0: Robust RMSEA >= 0.080 0.756
Standardized Root Mean Square Residual:
SRMR 0.023 0.023
Parameter Estimates:
Standard errors Sandwich
Information bread Observed
Observed information based on Hessian
Latent Variables:
Estimate Std.Err z-value P(>|z|) Std.lv Std.all
t =~
t1 1.000 NA NA
t2 1.000 NA NA
t3 1.000 NA NA
t4 1.000 NA NA
c =~
c1 1.000 0.206 0.209
c2 1.000 0.206 0.217
c3 1.000 0.206 0.220
c4 1.000 0.206 0.224
wt1 =~
t1 1.000 2.318 1.462
wt2 =~
t2 1.000 2.695 1.284
wt3 =~
t3 1.000 3.219 1.175
wt4 =~
t4 1.000 3.786 1.118
wc1 =~
c1 1.000 0.965 0.978
wc2 =~
c2 1.000 0.927 0.976
wc3 =~
c3 1.000 0.915 0.976
wc4 =~
c4 1.000 0.894 0.975
Regressions:
Estimate Std.Err z-value P(>|z|) Std.lv Std.all
wt4 ~
wt3 1.126 0.029 38.930 0.000 0.957 0.957
wt3 ~
wt2 1.093 0.025 43.596 0.000 0.915 0.915
wt2 ~
wt1 1.005 0.025 40.746 0.000 0.864 0.864
wc4 ~
wc3 0.004 0.061 0.063 0.950 0.004 0.004
wc3 ~
wc2 -0.047 0.056 -0.839 0.401 -0.048 -0.048
wc2 ~
wc1 0.042 0.051 0.816 0.415 0.043 0.043
wt4 ~
wc3 -0.291 0.076 -3.838 0.000 -0.070 -0.070
wt3 ~
wc2 -0.326 0.074 -4.413 0.000 -0.094 -0.094
wt2 ~
wc1 -0.113 0.068 -1.661 0.097 -0.041 -0.041
wc4 ~
wt3 -0.021 0.020 -1.044 0.296 -0.075 -0.075
wc3 ~
wt2 0.020 0.023 0.881 0.378 0.059 0.059
wc2 ~
wt1 -0.010 0.024 -0.420 0.675 -0.025 -0.025
Covariances:
Estimate Std.Err z-value P(>|z|) Std.lv Std.all
wt1 ~~
wc1 -0.007 0.136 -0.054 0.957 -0.003 -0.003
.wt2 ~~
.wc2 0.242 0.064 3.775 0.000 0.193 0.193
.wt3 ~~
.wc3 0.385 0.074 5.191 0.000 0.322 0.322
.wt4 ~~
.wc4 0.238 0.058 4.071 0.000 0.219 0.219
t ~~
c 0.082 0.107 0.761 0.447 0.235 0.235
wt1 0.000 0.000 0.000
c ~~
wt1 0.000 0.000 0.000
t ~~
wc1 0.000 0.000 0.000
c ~~
wc1 0.000 0.000 0.000
Intercepts:
Estimate Std.Err z-value P(>|z|) Std.lv Std.all
.t1 0.595 0.079 7.531 0.000 0.595 0.375
.t2 1.673 0.106 15.763 0.000 1.673 0.797
.t3 2.593 0.136 19.058 0.000 2.593 0.947
.t4 3.639 0.169 21.572 0.000 3.639 1.074
.c1 0.008 0.049 0.158 0.874 0.008 0.008
.c2 0.029 0.047 0.610 0.542 0.029 0.030
.c3 0.068 0.047 1.449 0.147 0.068 0.072
.c4 -0.018 0.046 -0.390 0.696 -0.018 -0.020
wt1 0.000 0.000 0.000
.wt2 0.000 0.000 0.000
.wt3 0.000 0.000 0.000
.wt4 0.000 0.000 0.000
wc1 0.000 0.000 0.000
.wc2 0.000 0.000 0.000
.wc3 0.000 0.000 0.000
.wc4 0.000 0.000 0.000
t 0.000 NA NA
c 0.000 0.000 0.000
Variances:
Estimate Std.Err z-value P(>|z|) Std.lv Std.all
t -2.861 1.350 -2.119 0.034 NA NA
c 0.042 0.026 1.637 0.102 1.000 1.000
wt1 5.373 1.412 3.804 0.000 1.000 1.000
.wt2 1.829 0.138 13.209 0.000 0.252 0.252
.wt3 1.719 0.127 13.564 0.000 0.166 0.166
.wt4 1.484 0.097 15.331 0.000 0.103 0.103
wc1 0.931 0.067 13.826 0.000 1.000 1.000
.wc2 0.856 0.065 13.256 0.000 0.997 0.997
.wc3 0.832 0.070 11.817 0.000 0.995 0.995
.wc4 0.795 0.061 13.110 0.000 0.994 0.994
.t1 0.000 0.000 0.000
.t2 0.000 0.000 0.000
.t3 0.000 0.000 0.000
.t4 0.000 0.000 0.000
.c1 0.000 0.000 0.000
.c2 0.000 0.000 0.000
.c3 0.000 0.000 0.000
.c4 0.000 0.000 0.000
R-Square:
Estimate
wt2 0.748
wt3 0.834
wt4 0.897
wc2 0.003
wc3 0.005
wc4 0.006
t1 1.000
t2 1.000
t3 1.000
t4 1.000
c1 1.000
c2 1.000
c3 1.000
c4 1.000
fitMeasures(
riclpm1_fit,
fit.measures = c(
"chisq", "df", "pvalue",
"chisq.scaled", "df.scaled", "pvalue.scaled",
"chisq.scaling.factor",
"baseline.chisq","baseline.df","baseline.pvalue",
"rmsea", "cfi", "tli", "srmr",
"rmsea.robust", "cfi.robust", "tli.robust"))
chisq df pvalue
39.156 9.000 0.000
chisq.scaled df.scaled pvalue.scaled
38.001 9.000 0.000
chisq.scaling.factor baseline.chisq baseline.df
1.030 1933.670 28.000
baseline.pvalue rmsea cfi
0.000 0.092 0.984
tli srmr rmsea.robust
0.951 0.023 0.091
cfi.robust tli.robust
0.984 0.951
residuals(
riclpm1_fit,
type = "cor")
$type
[1] "cor.bollen"
$cov
t1 t2 t3 t4 c1 c2 c3 c4
t1 0.000
t2 0.007 0.000
t3 0.012 -0.004 0.000
t4 0.005 0.023 0.000 0.000
c1 0.025 0.018 -0.009 0.062 0.000
c2 0.003 0.000 0.000 0.005 -0.001 0.000
c3 -0.013 0.008 0.008 0.009 -0.074 -0.005 0.000
c4 0.026 0.003 -0.020 -0.013 0.090 -0.014 0.001 0.000
$mean
t1 t2 t3 t4 c1 c2 c3 c4
0 0 0 0 0 0 0 0
modificationindices(
riclpm1_fit,
sort. = TRUE)
Warning in sqrt(var.lhs.value * var.rhs.value): NaNs produced
Warning: lavaan->lav_start_check_cov():
starting values imply NaN for a correlation value; variables involved are:
t c
compRelSEM(riclpm1_fit)
t c
-0.544 0.166
semPaths(
riclpm1_fit,
what = "Std.all",
layout = "tree2",
edge.label.cex = 1.5)
Warning in qgraph::qgraph(Edgelist, labels = nLab, bidirectional = Bidir, :
Non-finite weights are omitted

lavaanPlot::lavaanPlot(
riclpm1_fit,
coefs = TRUE,
#covs = TRUE,
stand = TRUE)
lavaanPlot::lavaanPlot2(
riclpm1_fit,
#stand = TRUE, # currently throws error; uncomment out when fixed: https://github.com/alishinski/lavaanPlot/issues/52
coef_labels = TRUE)
To generate an interactive/modifiable path diagram, you can use the following syntax:
lavaangui::plot_lavaan(riclpm1_fit)
A latent curve model with structured residuals (LCM-SR) is also called an autoregressive latent trajectory model with structured residuals (ALT-SR).
Adapted from Mund & Nestler (2017): https://osf.io/a4dhk
lcmsr_syntax <- '
# Define intercept and growth factors
intercept.t =~ 1*t1 + 1*t2 + 1*t3 + 1*t4
slope.t =~ 0*t1 + 1*t2 + 2*t3 + 3*t4
intercept.c =~ 1*c1 + 1*c2 + 1*c3 + 1*c4
slope.c =~ 0*c1 + 1*c2 + 2*c3 + 3*c4
# Define phantom latent variables
e.t1 =~ 1*t1
e.t2 =~ 1*t2
e.t3 =~ 1*t3
e.t4 =~ 1*t4
e.c1 =~ 1*c1
e.c2 =~ 1*c2
e.c3 =~ 1*c3
e.c4 =~ 1*c4
# Autoregressive paths
e.t2 ~ a1*e.t1
e.t3 ~ a1*e.t2
e.t4 ~ a1*e.t3
e.c2 ~ a2*e.c1
e.c3 ~ a2*e.c2
e.c4 ~ a2*e.c3
# Cross-lagged paths
e.c2 ~ c1*e.t1
e.c3 ~ c1*e.t2
e.c4 ~ c1*e.t3
e.t2 ~ c2*e.c1
e.t3 ~ c2*e.c2
e.t4 ~ c2*e.c3
# Some further constraints on the variance structure
# 1. Set error variances of the observed variables to zero
t1 ~~ 0*t1
t2 ~~ 0*t2
t3 ~~ 0*t3
t4 ~~ 0*t4
c1 ~~ 0*c1
c2 ~~ 0*c2
c3 ~~ 0*c3
c4 ~~ 0*c4
# 2. Let lavaan estimate the variance of the latent variables (residuals)
e.t1 ~~ vart1*e.t1
e.t2 ~~ vart2*e.t2
e.t3 ~~ vart3*e.t3
e.t4 ~~ vart4*e.t4
e.c1 ~~ varc1*e.c1
e.c2 ~~ varc2*e.c2
e.c3 ~~ varc3*e.c3
e.c4 ~~ varc4*e.c4
# 3. We also want estimates of the intercept factor variances, the slope
# variances, and the covariances
intercept.t ~~ varintercept.t*intercept.t
intercept.c ~~ varintercept.c*intercept.c
slope.t ~~ varslope.t*slope.t
slope.c ~~ varslope.c*slope.c
intercept.t ~~ covintercept*intercept.c
slope.t ~~ covslope*slope.c
intercept.t ~~ covintercept.tslope.t*slope.t
intercept.t ~~ covintercept.tslope.c*slope.c
intercept.c ~~ covintercept.cslope.t*slope.t
intercept.c ~~ covintercept.cslope.c*slope.c
# 4. We have to define that the covariance between the intercepts and
# the slopes and the latents of the first time point are zero
e.t1 ~~ 0*intercept.t
e.c1 ~~ 0*intercept.t
e.t1 ~~ 0*slope.t
e.c1 ~~ 0*slope.t
e.t1 ~~ 0*intercept.c
e.c1 ~~ 0*intercept.c
e.t1 ~~ 0*slope.c
e.c1 ~~ 0*slope.c
# 5. Finally, we estimate the covariance between the latents of x and y
# of the first time point, the second time-point and so on. Note that
# for the second to fourth time point the correlation is constrained to
# the same value
e.t1 ~~ cov1*e.c1
e.t2 ~~ e1*e.c2
e.t3 ~~ e1*e.c3
e.t4 ~~ e1*e.c4
# The model also contains a mean structure and we have to define some
# constraints for this part of the model. The assumption is that we
# only want estimates of the mean of the intercept factors. All other means
# are defined to be zero:
t1 ~ 0*1
t2 ~ 0*1
t3 ~ 0*1
t4 ~ 0*1
c1 ~ 0*1
c2 ~ 0*1
c3 ~ 0*1
c4 ~ 0*1
e.t1 ~ 0*1
e.t2 ~ 0*1
e.t3 ~ 0*1
e.t4 ~ 0*1
e.c1 ~ 0*1
e.c2 ~ 0*1
e.c3 ~ 0*1
e.c4 ~ 0*1
intercept.t ~ 1
intercept.c ~ 1
slope.t ~ 1
slope.c ~ 1
'
lcmsr_fit <- sem(
lcmsr_syntax,
data = Demo.growth,
missing = "ML",
estimator = "MLR",
fixed.x = FALSE,
em.h1.iter.max = 100000)
Warning: lavaan->lav_object_post_check():
some estimated lv variances are negative
summary(
lcmsr_fit,
fit.measures = TRUE,
standardized = TRUE,
rsquare = TRUE)
lavaan 0.6-20 ended normally after 68 iterations
Estimator ML
Optimization method NLMINB
Number of model parameters 38
Number of equality constraints 10
Number of observations 400
Number of missing patterns 1
Model Test User Model:
Standard Scaled
Test Statistic 34.165 34.572
Degrees of freedom 16 16
P-value (Chi-square) 0.005 0.005
Scaling correction factor 0.988
Yuan-Bentler correction (Mplus variant)
Model Test Baseline Model:
Test statistic 1933.670 1953.262
Degrees of freedom 28 28
P-value 0.000 0.000
Scaling correction factor 0.990
User Model versus Baseline Model:
Comparative Fit Index (CFI) 0.990 0.990
Tucker-Lewis Index (TLI) 0.983 0.983
Robust Comparative Fit Index (CFI) 0.990
Robust Tucker-Lewis Index (TLI) 0.983
Loglikelihood and Information Criteria:
Loglikelihood user model (H0) -4875.071 -4875.071
Scaling correction factor 0.751
for the MLR correction
Loglikelihood unrestricted model (H1) -4857.988 -4857.988
Scaling correction factor 1.008
for the MLR correction
Akaike (AIC) 9806.141 9806.141
Bayesian (BIC) 9917.902 9917.902
Sample-size adjusted Bayesian (SABIC) 9829.056 9829.056
Root Mean Square Error of Approximation:
RMSEA 0.053 0.054
90 Percent confidence interval - lower 0.028 0.029
90 Percent confidence interval - upper 0.078 0.079
P-value H_0: RMSEA <= 0.050 0.380 0.365
P-value H_0: RMSEA >= 0.080 0.037 0.041
Robust RMSEA 0.053
90 Percent confidence interval - lower 0.028
90 Percent confidence interval - upper 0.078
P-value H_0: Robust RMSEA <= 0.050 0.380
P-value H_0: Robust RMSEA >= 0.080 0.037
Standardized Root Mean Square Residual:
SRMR 0.047 0.047
Parameter Estimates:
Standard errors Sandwich
Information bread Observed
Observed information based on Hessian
Latent Variables:
Estimate Std.Err z-value P(>|z|) Std.lv Std.all
intercept.t =~
t1 1.000 1.314 0.827
t2 1.000 1.314 0.623
t3 1.000 1.314 0.483
t4 1.000 1.314 0.389
slope.t =~
t1 0.000 0.000 0.000
t2 1.000 0.740 0.351
t3 2.000 1.480 0.544
t4 3.000 2.220 0.657
intercept.c =~
c1 1.000 NA NA
c2 1.000 NA NA
c3 1.000 NA NA
c4 1.000 NA NA
slope.c =~
c1 0.000 NA NA
c2 1.000 NA NA
c3 2.000 NA NA
c4 3.000 NA NA
e.t1 =~
t1 1.000 0.894 0.562
e.t2 =~
t2 1.000 0.892 0.423
e.t3 =~
t3 1.000 0.852 0.313
e.t4 =~
t4 1.000 0.794 0.235
e.c1 =~
c1 1.000 1.021 1.041
e.c2 =~
c2 1.000 0.964 1.007
e.c3 =~
c3 1.000 0.943 1.009
e.c4 =~
c4 1.000 0.967 1.052
Regressions:
Estimate Std.Err z-value P(>|z|) Std.lv Std.all
e.t2 ~
e.t1 (a1) 0.145 0.096 1.511 0.131 0.145 0.145
e.t3 ~
e.t2 (a1) 0.145 0.096 1.511 0.131 0.152 0.152
e.t4 ~
e.t3 (a1) 0.145 0.096 1.511 0.131 0.156 0.156
e.c2 ~
e.c1 (a2) 0.056 0.080 0.697 0.486 0.059 0.059
e.c3 ~
e.c2 (a2) 0.056 0.080 0.697 0.486 0.057 0.057
e.c4 ~
e.c3 (a2) 0.056 0.080 0.697 0.486 0.054 0.054
e.c2 ~
e.t1 (c1) 0.027 0.075 0.361 0.718 0.025 0.025
e.c3 ~
e.t2 (c1) 0.027 0.075 0.361 0.718 0.026 0.026
e.c4 ~
e.t3 (c1) 0.027 0.075 0.361 0.718 0.024 0.024
e.t2 ~
e.c1 (c2) 0.023 0.066 0.354 0.723 0.027 0.027
e.t3 ~
e.c2 (c2) 0.023 0.066 0.354 0.723 0.026 0.026
e.t4 ~
e.c3 (c2) 0.023 0.066 0.354 0.723 0.028 0.028
Covariances:
Estimate Std.Err z-value P(>|z|) Std.lv
intercept.t ~~
(cvnt) -0.117 0.137 -0.854 0.393 -0.313
slope.t ~~
(cvsl) -0.049 0.028 -1.743 0.081 -0.348
intercept.t ~~
(cvntrcpt.tslp.t) 0.688 0.091 7.525 0.000 0.707
(cvntrcpt.tslp.c) 0.068 0.056 1.224 0.221 0.274
slope.t ~~
(cvntrcpt.cslp.t) 0.095 0.055 1.728 0.084 0.454
intercept.c ~~
(cvntrcpt.cslp.c) 0.052 0.064 0.821 0.412 0.971
intercept.t ~~
0.000 0.000
0.000 0.000
slope.t ~~
0.000 0.000
0.000 0.000
intercept.c ~~
0.000 0.000
0.000 0.000
slope.c ~~
0.000 0.000
0.000 0.000
e.t1 ~~
(cov1) 0.275 0.138 1.993 0.046 0.301
.e.t2 ~~
. (e1) 0.317 0.054 5.859 0.000 0.373
.e.t3 ~~
. (e1) 0.317 0.054 5.859 0.000 0.400
.e.t4 ~~
. (e1) 0.317 0.054 5.859 0.000 0.419
Std.all
-0.313
-0.348
0.707
0.274
0.454
0.971
0.000
0.000
0.000
0.000
0.000
0.000
0.000
0.000
0.301
0.373
0.400
0.419
Intercepts:
Estimate Std.Err z-value P(>|z|) Std.lv Std.all
.t1 0.000 0.000 0.000
.t2 0.000 0.000 0.000
.t3 0.000 0.000 0.000
.t4 0.000 0.000 0.000
.c1 0.000 0.000 0.000
.c2 0.000 0.000 0.000
.c3 0.000 0.000 0.000
.c4 0.000 0.000 0.000
e.t1 0.000 0.000 0.000
.e.t2 0.000 0.000 0.000
.e.t3 0.000 0.000 0.000
.e.t4 0.000 0.000 0.000
e.c1 0.000 0.000 0.000
.e.c2 0.000 0.000 0.000
.e.c3 0.000 0.000 0.000
.e.c4 0.000 0.000 0.000
intercept.t 0.612 0.077 7.962 0.000 0.465 0.465
intercept.c 0.027 0.040 0.661 0.509 NA NA
slope.t 1.008 0.042 24.209 0.000 1.362 1.362
slope.c -0.003 0.020 -0.166 0.868 NA NA
Variances:
Estimate Std.Err z-value P(>|z|) Std.lv Std.all
.t 0.000 0.000 0.000
.t 0.000 0.000 0.000
.t 0.000 0.000 0.000
.t 0.000 0.000 0.000
.c 0.000 0.000 0.000
.c 0.000 0.000 0.000
.c 0.000 0.000 0.000
.c 0.000 0.000 0.000
e (vrt1) 0.799 0.193 4.137 0.000 1.000 1.000
.e (vrt2) 0.777 0.083 9.416 0.000 0.976 0.976
.e (vrt3) 0.706 0.101 6.979 0.000 0.973 0.973
.e (vrt4) 0.613 0.121 5.054 0.000 0.972 0.972
e (vrc1) 1.043 0.184 5.680 0.000 1.000 1.000
.e (vrc2) 0.925 0.081 11.425 0.000 0.995 0.995
.e (vrc3) 0.885 0.088 10.060 0.000 0.995 0.995
.e (vrc4) 0.931 0.130 7.180 0.000 0.995 0.995
i (vrntrcpt.t) 1.727 0.224 7.708 0.000 1.000 1.000
i (vrntrcpt.c) -0.080 0.166 -0.484 0.628 NA NA
s (vrslp.t) 0.548 0.065 8.464 0.000 1.000 1.000
s (vrslp.c) -0.036 0.038 -0.956 0.339 NA NA
R-Square:
Estimate
t1 1.000
t2 1.000
t3 1.000
t4 1.000
c1 1.000
c2 1.000
c3 1.000
c4 1.000
e.t2 0.024
e.t3 0.027
e.t4 0.028
e.c2 0.005
e.c3 0.005
e.c4 0.005
fitMeasures(
lcmsr_fit,
fit.measures = c(
"chisq", "df", "pvalue",
"chisq.scaled", "df.scaled", "pvalue.scaled",
"chisq.scaling.factor",
"baseline.chisq","baseline.df","baseline.pvalue",
"rmsea", "cfi", "tli", "srmr",
"rmsea.robust", "cfi.robust", "tli.robust"))
chisq df pvalue
34.165 16.000 0.005
chisq.scaled df.scaled pvalue.scaled
34.572 16.000 0.005
chisq.scaling.factor baseline.chisq baseline.df
0.988 1933.670 28.000
baseline.pvalue rmsea cfi
0.000 0.053 0.990
tli srmr rmsea.robust
0.983 0.047 0.053
cfi.robust tli.robust
0.990 0.983
residuals(
lcmsr_fit,
type = "cor")
$type
[1] "cor.bollen"
$cov
t1 t2 t3 t4 c1 c2 c3 c4
t1 0.000
t2 0.013 0.000
t3 -0.005 -0.004 0.000
t4 0.001 0.001 -0.001 0.000
c1 -0.028 -0.017 -0.061 -0.011 0.000
c2 0.029 -0.026 -0.042 -0.026 0.046 0.000
c3 0.100 0.090 0.120 0.127 -0.065 -0.071 0.000
c4 -0.063 -0.061 -0.082 -0.070 0.055 0.007 0.014 0.000
$mean
t1 t2 t3 t4 c1 c2 c3 c4
-0.011 0.025 -0.013 0.001 -0.019 0.006 0.051 -0.038
modificationindices(
lcmsr_fit,
sort. = TRUE)
Warning: lavaan->modificationindices():
the modindices() function ignores equality constraints; use lavTestScore()
to assess the impact of releasing one or multiple constraints.
Warning in sqrt(var.lhs.value * var.rhs.value): NaNs produced
Warning: lavaan->lav_start_check_cov():
starting values imply NaN for a correlation value; variables involved are:
intercept.t intercept.c
Warning in sqrt(var.lhs.value * var.rhs.value): NaNs produced
Warning: lavaan->lav_start_check_cov():
starting values imply NaN for a correlation value; variables involved are:
slope.t slope.c
compRelSEM(lcmsr_fit)
intercept.t slope.t intercept.c slope.c
0.328 0.314 -0.315 -0.469
semPaths(
lcmsr_fit,
what = "Std.all",
layout = "tree2",
edge.label.cex = 1.5)
Warning in qgraph::qgraph(Edgelist, labels = nLab, bidirectional = Bidir, :
Non-finite weights are omitted

#lavaanPlot::lavaanPlot( # throws error
# lcmsr_fit,
# coefs = TRUE,
# #covs = TRUE,
# stand = TRUE)
lavaanPlot::lavaanPlot2(
lcmsr_fit,
#stand = TRUE, # currently throws error; uncomment out when fixed: https://github.com/alishinski/lavaanPlot/issues/52
coef_labels = TRUE)
To generate an interactive/modifiable path diagram, you can use the following syntax:
lavaangui::plot_lavaan(lcmsr_fit)
It is important not to just consider mediation effects where there is a bivariate association between the predictor and the outcome. Sometimes inconsistent mediation occurs where the indirect effect has an opposite sign (i.e., positive or negative) from the direct or total effect. The idea is there there may be multiple mediating mechanisms, and that the predictor/cause may have both beneficial and harmful effects on the outcome, and that the mediating mechanisms can “cancel each other out” in terms of the total effect. For instance, the predictor may help via mechanism A, but may hurt via mechanism B. In this case, the total effect may be weak or small, even though there may be strong mediating effects.
mediationModel <- '
# direct effect (cPrime)
Y ~ direct*X
# mediator
M ~ a*X
Y ~ b*M
# indirect effect = a*b
indirect := a*b
# total effect (c)
total := direct + indirect
totalAbs := abs(direct) + abs(indirect)
# proportion mediated
Pm := abs(indirect) / totalAbs
'
To get a robust estimate of the indirect effect, we obtain bootstrapped estimates from 1,000 bootstrap draws. Typically, we would obtain bootstrapped estimates from 10,000 bootstrap draws, but this example uses only 1,000 bootstrap draws for a shorter runtime.
mediationFit <- sem(
mediationModel,
data = mydata,
se = "bootstrap",
bootstrap = 1000, # generally use 10,000 bootstrap draws; this example uses 1,000 for speed
parallel = "multicore", # parallelization for speed: use "multicore" for Mac/Linux; "snow" for PC
iseed = 52242, # for reproducibility
missing = "ML",
estimator = "ML",
# std.lv = TRUE, # for models with latent variables
fixed.x = FALSE)
summary(
mediationFit,
fit.measures = TRUE,
standardized = TRUE,
rsquare = TRUE)
lavaan 0.6-20 ended normally after 4 iterations
Estimator ML
Optimization method NLMINB
Number of model parameters 9
Number of observations 100
Number of missing patterns 1
Model Test User Model:
Test statistic 0.000
Degrees of freedom 0
Model Test Baseline Model:
Test statistic 79.768
Degrees of freedom 3
P-value 0.000
User Model versus Baseline Model:
Comparative Fit Index (CFI) 1.000
Tucker-Lewis Index (TLI) 1.000
Robust Comparative Fit Index (CFI) 1.000
Robust Tucker-Lewis Index (TLI) 1.000
Loglikelihood and Information Criteria:
Loglikelihood user model (H0) -394.296
Loglikelihood unrestricted model (H1) -394.296
Akaike (AIC) 806.592
Bayesian (BIC) 830.039
Sample-size adjusted Bayesian (SABIC) 801.614
Root Mean Square Error of Approximation:
RMSEA 0.000
90 Percent confidence interval - lower 0.000
90 Percent confidence interval - upper 0.000
P-value H_0: RMSEA <= 0.050 NA
P-value H_0: RMSEA >= 0.080 NA
Robust RMSEA 0.000
90 Percent confidence interval - lower 0.000
90 Percent confidence interval - upper 0.000
P-value H_0: Robust RMSEA <= 0.050 NA
P-value H_0: Robust RMSEA >= 0.080 NA
Standardized Root Mean Square Residual:
SRMR 0.000
Parameter Estimates:
Standard errors Bootstrap
Number of requested bootstrap draws 1000
Number of successful bootstrap draws 1000
Regressions:
Estimate Std.Err z-value P(>|z|) Std.lv Std.all
Y ~
X (drct) -0.045 0.107 -0.423 0.672 -0.045 -0.038
M ~
X (a) 0.568 0.090 6.328 0.000 0.568 0.549
Y ~
M (b) 0.714 0.118 6.075 0.000 0.714 0.616
Intercepts:
Estimate Std.Err z-value P(>|z|) Std.lv Std.all
.Y 0.028 0.098 0.287 0.774 0.028 0.024
.M -0.072 0.084 -0.857 0.392 -0.072 -0.073
X -0.173 0.096 -1.811 0.070 -0.173 -0.181
Variances:
Estimate Std.Err z-value P(>|z|) Std.lv Std.all
.Y 0.850 0.124 6.841 0.000 0.850 0.644
.M 0.686 0.083 8.262 0.000 0.686 0.699
X 0.916 0.129 7.095 0.000 0.916 1.000
R-Square:
Estimate
Y 0.356
M 0.301
Defined Parameters:
Estimate Std.Err z-value P(>|z|) Std.lv Std.all
indirect 0.406 0.094 4.323 0.000 0.406 0.338
total 0.361 0.108 3.354 0.001 0.361 0.300
totalAbs 0.451 0.130 3.476 0.001 0.451 0.376
Pm 0.900 0.104 8.680 0.000 0.900 0.900
Adjusted bootstrap percentile (BCa) method, but with no correction for acceleration (only for bias):
mediationFit_estimates_bca <- parameterEstimates(
mediationFit,
boot.ci.type = "bca.simple",
standardized = TRUE)
mediationFit_estimates <- mediationFit_estimates_bca
mediationFit_estimates_bca
mediationFit_estimates_perc <- parameterEstimates(
mediationFit,
boot.ci.type = "perc",
standardized = TRUE)
mediationFit_estimates_perc
Bias-Corrected Bootstrap:
mediationFit_estimates_bca %>%
filter(label == "indirect")
Percentile Bootstrap:
mediationFit_estimates_perc %>%
filter(label == "indirect")
\[ \beta(ab) = ab \cdot \frac{SD_\text{Y}}{SD_\text{X}} \]
mediationFit_indirect <- mediationFit_estimates %>%
filter(label == "indirect") %>%
select(std.all) %>%
as.numeric
mediationFit_indirect
[1] 0.3380996
\[ P_M = \frac{|ab|}{|c|} = \frac{|ab|}{|c'| + |ab|} \]
Effect size: Proportion mediated (PM); i.e., the proportion of the total effect that is mediated; calculated by the magnitude of the indirect effect divided by the magnitude of the total effect:
mediationFit_total <- mediationFit_estimates %>%
filter(label == "totalAbs") %>%
select(std.all) %>%
as.numeric
mediationFit_pm <- abs(mediationFit_indirect) / abs(mediationFit_total)
mediationFit_pm
[1] 0.8998773
In this case, the direct effect and indirect effect have opposite signs (negative and positive, respectively). This is called inconsistent mediation, and can render the estimate of proportion mediated not a meaningful estimate of effect size (in this case, the estimate would exceed 1.0; Fairchild & McDaniel, 2017). To address this, we can use the absolute value of the direct and indirect effects (in computation of the total effect), as recommended by MacKinnon et al. (2007). When using the absolute value of the direct and indirect effects, the proportion mediated (PM) is 0.90, indicating that the mediator explained 90% of the total effect.
Formulas from Lachowicz et al. (2018):
\[ \begin{aligned} R^2_\text{mediated} &= r^2_{\text{MY}} - (R^2_{\text{Y} \cdot \text{MX}} - r^2_{\text{XY}}) \\ &= (\beta^2_{\text{YM} \cdot \text{X}} + \beta_{\text{YX} \cdot \text{M}} \cdot \beta_{\text{MX}}) ^2 - [\beta^2_{\text{YX}} + \beta^2_{\text{YM} \cdot \text{X}}(1 - \beta^2_{\text{MX}}) - \beta^2_{\text{YX}}] \end{aligned} \]
rXY <- as.numeric(cor.test(
~ X + Y,
data = mydata
)$estimate)
rMY <- as.numeric(cor.test(
~ M + Y,
data = mydata
)$estimate)
RsquaredYmx <- summary(lm(
Y ~ M + X,
data = mydata))$r.squared
RsquaredMed1 <- (rMY^2) - (RsquaredYmx - (rXY^2))
RsquaredMed1
[1] 0.08930037
betaYMgivenX <- mediationFit_estimates %>%
filter(label == "b") %>%
select(std.all) %>%
as.numeric
betaYXgivenM <- mediationFit_estimates %>%
filter(label == "direct") %>%
select(std.all) %>%
as.numeric
betaMX <- mediationFit_estimates %>%
filter(label == "a") %>%
select(std.all) %>%
as.numeric
betaYX <- as.numeric(cor.test(
~ X + Y,
data = mydata
)$estimate)
RsquaredMed2 <- ((betaYMgivenX + (betaYXgivenM * betaMX))^2) - ((betaYX^2) + (betaYMgivenX^2)*(1 - (betaMX^2)) - (betaYX^2))
RsquaredMed2
[1] 0.08930037
Formulas from Lachowicz et al. (2018):
\[ \begin{aligned} v &= (r_{\text{YM}} - \beta_{\text{MX}} \cdot \beta^2_{\text{YX} \cdot \text{M}}) ^ 2 - (R^2_{\text{Y} \cdot \text{MX}} - r^2_{\text{YX}})\\ &= \beta^2_a \cdot \beta^2_b \end{aligned} \]
where \(a\) is the \(a\) path (\(\beta^2_{\text{MX}}\)), and \(b\) is the \(b\) path (\(\beta^2_{\text{YM} \cdot \text{X}}\)).
The estimate corrects for spurious correlation induced by the ordering of variables.
upsilon1 <- ((rMY - (betaMX * (betaYXgivenM^2)))^2) - (RsquaredYmx - (rXY^2))
upsilon1
[1] 0.08837615
upsilon2 <- (betaYMgivenX^2) - (RsquaredYmx - (rXY^2))
upsilon2
[1] 0.1143113
upsilon3 <- mediationFit_indirect ^ 2
upsilon3
[1] 0.1143113
upsilon(
x = mydata$X,
mediator = mydata$M,
dv = mydata$Y,
bootstrap = FALSE
)
\[ \kappa^2 = \frac{ab}{\text{MAX}(ab)} \]
Kappa-squared (\(\kappa^2\)) is the ratio of the indirect effect relative to its maximum possible value in the data given the observed variability of X, Y, and M and their intercorrelations in the data. This estimate is no longer recommended (Wen & Fan, 2015).
mediation(
x = mydata$X,
mediator = mydata$M,
dv = mydata$Y,
bootstrap = FALSE
)
$Y.on.X
$Y.on.X$Regression.Table
Estimate Std. Error t value p(>|t|) Low Conf Limit
Intercept.Y_X -0.0234265 0.1124386 -0.2083494 0.8353886 -0.2465572
c (Regressor) 0.3605967 0.1156225 3.1187424 0.0023850 0.1311477
Up Conf Limit
Intercept.Y_X 0.1997041
c (Regressor) 0.5900458
$Y.on.X$Model.Fit
Residual standard error (RMSE) numerator df denomenator df F-Statistic
Values 1.10643 1 98 9.726554
p-value (F) R^2 Adj R^2 Low Conf Limit Up Conf Limit
Values 0.002385 0.09028929 0.08100653 0.01207068 0.2183844
$M.on.X
$M.on.X$Regression.Table
Estimate Std. Error t value p(>|t|) Low Conf Limit
Intercept.M_X -0.07206805 0.08501733 -0.8476865 0.39867814281309 -0.2407822
a (Regressor) 0.56815370 0.08742477 6.4987723 0.00000000339244 0.3946621
Up Conf Limit
Intercept.M_X 0.09664608
a (Regressor) 0.74164532
$M.on.X$Model.Fit
Residual standard error (RMSE) numerator df denomenator df F-Statistic
Values 0.8365964 1 98 42.23404
p-value (F) R^2 Adj R^2 Low Conf Limit Up Conf Limit
Values 0.00000000339244 0.3011683 0.2940373 0.1546027 0.4498597
$Y.on.X.and.M
$Y.on.X.and.M$Regression.Table
Estimate Std. Error t value p(>|t|)
Intercept.Y_XM 0.02804007 0.09547198 0.2936994 0.76961507960580
c.prime (Regressor) -0.04514372 0.11701196 -0.3858043 0.70048641908141
b (Mediator) 0.71413854 0.11302357 6.3184922 0.00000000802134
Low Conf Limit Up Conf Limit
Intercept.Y_XM -0.1614454 0.2175255
c.prime (Regressor) -0.2773801 0.1870926
b (Mediator) 0.4898180 0.9384590
$Y.on.X.and.M$Model.Fit
Residual standard error (RMSE) numerator df denomenator df F-Statistic
Values 0.9360479 2 97 26.75653
p-value (F) R^2 Adj R^2 Low Conf Limit Up Conf Limit
Values 0.0000000005572898 0.3555377 0.3422498 0.1958319 0.4955139
$Effect.Sizes
[,1]
Indirect.Effect 0.40574046
Indirect.Effect.Partially.Standardized 0.35154486
Index.of.Mediation 0.33809959
R2_4.5 0.08930037
R2_4.6 0.08781296
R2_4.7 0.24698638
Ratio.of.Indirect.to.Total.Effect 1.12519172
Ratio.of.Indirect.to.Direct.Effect -8.98774887
Success.of.Surrogate.Endpoint 0.63468166
Residual.Based_Gamma 0.08153354
Residual.Based.Standardized_gamma 0.08679941
SOS 0.98904723
The model is saturated because it has as many estimated parameters as there are data points (i.e., in terms of means, variances, and covariances), so it has zero degrees of freedom. Because the model is saturated, it has “perfect” fit.
fitMeasures(
mediationFit,
fit.measures = c(
"chisq", "df", "pvalue",
"baseline.chisq","baseline.df","baseline.pvalue",
"rmsea", "cfi", "tli", "srmr"))
chisq df pvalue baseline.chisq baseline.df
0.000 0.000 NA 79.768 3.000
baseline.pvalue rmsea cfi tli srmr
0.000 0.000 1.000 1.000 0.000
residuals(mediationFit, type = "cor")
$type
[1] "cor.bollen"
$cov
Y M X
Y 0
M 0 0
X 0 0 0
$mean
Y M X
0 0 0
modificationindices(mediationFit, sort. = TRUE)
compRelSEM(mediationFit)
named numeric(0)
semPaths(
mediationFit,
what = "Std.all",
layout = "tree2",
edge.label.cex = 1.5)

lavaanPlot::lavaanPlot(
mediationFit,
coefs = TRUE,
#covs = TRUE,
stand = TRUE)
lavaanPlot::lavaanPlot2(
mediationFit,
#stand = TRUE, # currently throws error; uncomment out when fixed: https://github.com/alishinski/lavaanPlot/issues/52
coef_labels = TRUE)
To generate an interactive/modifiable path diagram, you can use the following syntax:
lavaangui::plot_lavaan(mediationFit)
states <- as.data.frame(state.x77)
names(states)[which(names(states) == "HS Grad")] <- "HS.Grad"
states$Income_rescaled <- states$Income/100
Make sure to mean-center or orthogonalize predictors before computing the interaction term.
states$Illiteracy_centered <- scale(states$Illiteracy, scale = FALSE)
states$Murder_centered <- scale(states$Murder, scale = FALSE)
Orthogonalizing is residual centering.
states$interaction_notCentered <- states$Illiteracy * states$Murder
states$Illiteracy_orthogonalized <- resid(lm(
data = states,
interaction_notCentered ~ Illiteracy
))
states$Murder_orthogonalized <- resid(lm(
data = states,
interaction_notCentered ~ Murder
))
states$interaction <- states$Illiteracy_centered * states$Murder_centered # or: states$Illiteracy_orthogonalized * states$Murder_orthogonalized
moderationModel <- '
Income_rescaled ~ Illiteracy_centered + Murder_centered + interaction + HS.Grad
'
moderationFit <- sem(
moderationModel,
data = states,
missing = "ML",
estimator = "MLR",
std.lv = TRUE,
fixed.x = FALSE)
Warning: lavaan->lav_model_vcov():
The variance-covariance matrix of the estimated parameters (vcov) does not
appear to be positive definite! The smallest eigenvalue (= 1.282391e-16)
is close to zero. This may be a symptom that the model is not identified.
summary(
moderationFit,
fit.measures = TRUE,
standardized = TRUE,
rsquare = TRUE)
lavaan 0.6-20 ended normally after 27 iterations
Estimator ML
Optimization method NLMINB
Number of model parameters 20
Number of observations 50
Number of missing patterns 1
Model Test User Model:
Standard Scaled
Test Statistic 0.000 0.000
Degrees of freedom 0 0
Model Test Baseline Model:
Test statistic 33.312 29.838
Degrees of freedom 4 4
P-value 0.000 0.000
Scaling correction factor 1.116
User Model versus Baseline Model:
Comparative Fit Index (CFI) 1.000 1.000
Tucker-Lewis Index (TLI) 1.000 1.000
Robust Comparative Fit Index (CFI) 1.000
Robust Tucker-Lewis Index (TLI) 1.000
Loglikelihood and Information Criteria:
Loglikelihood user model (H0) -570.333 -570.333
Loglikelihood unrestricted model (H1) -570.333 -570.333
Akaike (AIC) 1180.666 1180.666
Bayesian (BIC) 1218.907 1218.907
Sample-size adjusted Bayesian (SABIC) 1156.130 1156.130
Root Mean Square Error of Approximation:
RMSEA 0.000 NA
90 Percent confidence interval - lower 0.000 NA
90 Percent confidence interval - upper 0.000 NA
P-value H_0: RMSEA <= 0.050 NA NA
P-value H_0: RMSEA >= 0.080 NA NA
Robust RMSEA 0.000
90 Percent confidence interval - lower 0.000
90 Percent confidence interval - upper 0.000
P-value H_0: Robust RMSEA <= 0.050 NA
P-value H_0: Robust RMSEA >= 0.080 NA
Standardized Root Mean Square Residual:
SRMR 0.000 0.000
Parameter Estimates:
Standard errors Sandwich
Information bread Observed
Observed information based on Hessian
Regressions:
Estimate Std.Err z-value P(>|z|) Std.lv Std.all
Income_rescaled ~
Illitrcy_cntrd 0.371 1.881 0.197 0.844 0.371 0.037
Murder_centerd 0.171 0.245 0.696 0.486 0.171 0.103
interaction -0.970 0.254 -3.823 0.000 -0.970 -0.355
HS.Grad 0.408 0.149 2.727 0.006 0.408 0.536
Covariances:
Estimate Std.Err z-value P(>|z|) Std.lv Std.all
Illiteracy_centered ~~
Murder_centerd 1.550 0.315 4.924 0.000 1.550 0.703
interaction 0.733 0.323 2.271 0.023 0.733 0.546
HS.Grad -3.171 0.711 -4.459 0.000 -3.171 -0.657
Murder_centered ~~
interaction 2.223 1.620 1.372 0.170 2.223 0.273
HS.Grad -14.259 4.049 -3.522 0.000 -14.259 -0.488
interaction ~~
HS.Grad -7.938 2.987 -2.657 0.008 -7.938 -0.446
Intercepts:
Estimate Std.Err z-value P(>|z|) Std.lv Std.all
.Income_rescald 24.215 7.858 3.081 0.002 24.215 3.981
Illitrcy_cntrd -0.000 0.085 -0.000 1.000 -0.000 -0.000
Murder_centerd -0.000 0.517 -0.000 1.000 -0.000 -0.000
interaction 1.550 0.315 4.924 0.000 1.550 0.696
HS.Grad 53.108 1.131 46.966 0.000 53.108 6.642
Variances:
Estimate Std.Err z-value P(>|z|) Std.lv Std.all
.Income_rescald 19.006 4.200 4.525 0.000 19.006 0.514
Illitrcy_cntrd 0.364 0.066 5.534 0.000 0.364 1.000
Murder_centerd 13.355 1.754 7.614 0.000 13.355 1.000
interaction 4.956 1.462 3.390 0.001 4.956 1.000
HS.Grad 63.933 9.944 6.429 0.000 63.933 1.000
R-Square:
Estimate
Income_rescald 0.486
The model is saturated because it has as many estimated parameters as there are data points (i.e., in terms of means, variances, and covariances), so it has zero degrees of freedom. Because the model is saturated, it has “perfect” fit.
fitMeasures(
moderationFit,
fit.measures = c(
"chisq", "df", "pvalue",
"baseline.chisq","baseline.df","baseline.pvalue",
"rmsea", "cfi", "tli", "srmr"))
chisq df pvalue baseline.chisq baseline.df
0.000 0.000 NA 33.312 4.000
baseline.pvalue rmsea cfi tli srmr
0.000 0.000 1.000 1.000 0.000
residuals(moderationFit, type = "cor")
$type
[1] "cor.bollen"
$cov
Incm_r Illtr_ Mrdr_c intrct HS.Grd
Income_rescaled 0
Illiteracy_centered 0 0
Murder_centered 0 0 0
interaction 0 0 0 0
HS.Grad 0 0 0 0 0
$mean
Income_rescaled Illiteracy_centered Murder_centered interaction
0 0 0 0
HS.Grad
0
modificationindices(moderationFit, sort. = TRUE)
semPaths(
moderationFit,
what = "Std.all",
layout = "tree2",
edge.label.cex = 1.5)

lavaanPlot::lavaanPlot(
moderationFit,
coefs = TRUE,
#covs = TRUE,
stand = TRUE)
lavaanPlot::lavaanPlot2(
moderationFit,
#stand = TRUE, # currently throws error; uncomment out when fixed: https://github.com/alishinski/lavaanPlot/issues/52
coef_labels = TRUE)
To generate an interactive/modifiable path diagram, you can use the following syntax:
lavaangui::plot_lavaan(moderationFit)
# Created Model-Implied Predicted Data Object
modelImpliedPredictedData <- expand.grid(
Illiteracy_factor = c("Low","Middle","High"),
Murder_factor = c("Low","Middle","High"))
Illiteracy_mean <- mean(states$Illiteracy, na.rm = TRUE)
Illiteracy_sd <- sd(states$Illiteracy, na.rm = TRUE)
Murder_mean <- mean(states$Murder, na.rm = TRUE)
Murder_sd <- sd(states$Murder, na.rm = TRUE)
Illiteracy_centered_mean <- mean(states$Illiteracy_centered, na.rm = TRUE)
Illiteracy_centered_sd <- sd(states$Illiteracy_centered, na.rm = TRUE)
Murder_centered_mean <- mean(states$Murder_centered, na.rm = TRUE)
Murder_centered_sd <- sd(states$Murder_centered, na.rm = TRUE)
modelImpliedPredictedData <- modelImpliedPredictedData %>%
mutate(
Illiteracy = case_when(
Illiteracy_factor == "Low" ~ Illiteracy_mean - Illiteracy_sd,
Illiteracy_factor == "Middle" ~ Illiteracy_mean,
Illiteracy_factor == "High" ~ Illiteracy_mean + Illiteracy_sd
),
Illiteracy_centered = case_when(
Illiteracy_factor == "Low" ~ Illiteracy_centered_mean - Illiteracy_centered_sd,
Illiteracy_factor == "Middle" ~ Illiteracy_centered_mean,
Illiteracy_factor == "High" ~ Illiteracy_centered_mean + Illiteracy_centered_sd
),
Murder = case_when(
Murder_factor == "Low" ~ Murder_mean - Murder_sd,
Murder_factor == "Middle" ~ Murder_mean,
Murder_factor == "High" ~ Murder_mean + Murder_sd
),
Murder_centered = case_when(
Murder_factor == "Low" ~ Murder_centered_mean - Murder_centered_sd,
Murder_factor == "Middle" ~ Murder_centered_mean,
Murder_factor == "High" ~ Murder_centered_mean + Murder_centered_sd
),
interaction = Illiteracy_centered * Murder_centered,
HS.Grad = mean(states$HS.Grad, na.rm = TRUE), # mean for covariates
Income_rescaled = NA
)
Murder_labels <- factor(
modelImpliedPredictedData$Murder_factor,
levels = c("High", "Middle", "Low"),
labels = c("High (+1 SD)", "Middle (mean)", "Low (−1 SD)"))
modelImpliedPredictedData$Income_rescaled <- lavPredictY(
moderationFit,
newdata = modelImpliedPredictedData,
ynames = "Income_rescaled"
) %>%
as.vector()
# Verify Computation Manually
moderationFit_parameters <- parameterEstimates(moderationFit)
moderationFit_parameters
intercept <- moderationFit_parameters[which(moderationFit_parameters$lhs == "Income_rescaled" & moderationFit_parameters$op == "~1"), "est"]
b_Illiteracy_centered <- moderationFit_parameters[which(moderationFit_parameters$lhs == "Income_rescaled" & moderationFit_parameters$rhs == "Illiteracy_centered"), "est"]
b_Murder_centered <- moderationFit_parameters[which(moderationFit_parameters$lhs == "Income_rescaled" & moderationFit_parameters$rhs == "Murder_centered"), "est"]
b_interaction <- moderationFit_parameters[which(moderationFit_parameters$lhs == "Income_rescaled" & moderationFit_parameters$rhs == "interaction"), "est"]
b_HS.Grad <- moderationFit_parameters[which(moderationFit_parameters$lhs == "Income_rescaled" & moderationFit_parameters$rhs == "HS.Grad"), "est"]
modelImpliedPredictedData <- modelImpliedPredictedData %>%
mutate(
Income_rescaled_calculatedManually = intercept + (b_Illiteracy_centered * Illiteracy_centered) + (b_Murder_centered * Murder_centered) + (b_interaction * interaction) + (b_HS.Grad * HS.Grad))
# Model-Implied Predicted Data
modelImpliedPredictedData
# Plot
ggplot(
data = modelImpliedPredictedData,
mapping = aes(
x = Illiteracy,
y = Income_rescaled,
color = Murder_labels
)
) +
geom_line() +
labs(color = "Murder")

https://gabriellajg.github.io/EPSY-579-R-Cookbook-for-SEM/week6_1-lavaan-lab-4-mediated-moderation-moderated-mediation.html#step-5-johnson-neyman-interval (archived at https://perma.cc/6XR6-ZPSL)
# Find the min and max values of the moderator
Murder_centered_min <- min(modelImpliedPredictedData$Murder_centered, na.rm = TRUE)
Murder_centered_max <- max(modelImpliedPredictedData$Murder_centered, na.rm = TRUE)
Murder_centered_cutoff1 <- -1.5 # pick and titrate cutoff to help find the lower bound of the region of significance
Murder_centered_cutoff2 <- -1 # pick and titrate cutoff to help find the upper bound of the region of significance
Murder_centered_sd <- sd(modelImpliedPredictedData$Murder_centered, na.rm = TRUE)
Murder_centered_low <- mean(modelImpliedPredictedData$Murder_centered, na.rm = TRUE) - sd(modelImpliedPredictedData$Murder_centered, na.rm = TRUE)
Murder_centered_mean <- mean(modelImpliedPredictedData$Murder_centered, na.rm = TRUE)
Murder_centered_high <- mean(modelImpliedPredictedData$Murder_centered, na.rm = TRUE) + sd(modelImpliedPredictedData$Murder_centered, na.rm = TRUE)
# Extend the moderation model to compute the simple slopes and conditional effects at specific values of the moderator
moderationModelSimpleSlopes <- paste0('
# Regression
Income_rescaled ~ b1*Illiteracy_centered + b2*Murder_centered + b3*interaction + b4*HS.Grad
# Simple Slopes
SS_min := b1 + b3 * ', Murder_centered_min, '
SS_cutoff1 := b1 + b3 * ', Murder_centered_cutoff1, '
SS_cutoff2 := b1 + b3 * ', Murder_centered_cutoff2, '
SS_low := b1 + b3 * ', Murder_centered_low, '
SS_mean := b1 + b3 * ', Murder_centered_mean, '
SS_high := b1 + b3 * ', Murder_centered_high, '
SS_max := b1 + b3 * ', Murder_centered_max, '
')
# Fit the Model
set.seed(52242) # for reproducibility
moderationModelSimpleSlopes_fit <- sem(
model = moderationModelSimpleSlopes,
data = states,
missing = "ML",
estimator = "ML",
se = "bootstrap",
bootstrap = 1000,
std.lv = TRUE,
fixed.x = FALSE)
summary(
moderationModelSimpleSlopes_fit,
#fit.measures = TRUE,
standardized = TRUE,
rsquare = TRUE)
lavaan 0.6-20 ended normally after 27 iterations
Estimator ML
Optimization method NLMINB
Number of model parameters 20
Number of observations 50
Number of missing patterns 1
Model Test User Model:
Test statistic 0.000
Degrees of freedom 0
Parameter Estimates:
Standard errors Bootstrap
Number of requested bootstrap draws 1000
Number of successful bootstrap draws 1000
Regressions:
Estimate Std.Err z-value P(>|z|) Std.lv Std.all
Income_rescaled ~
Illtrcy_c (b1) 0.371 2.266 0.164 0.870 0.371 0.037
Mrdr_cntr (b2) 0.171 0.271 0.630 0.528 0.171 0.103
interactn (b3) -0.970 0.307 -3.157 0.002 -0.970 -0.355
HS.Grad (b4) 0.408 0.162 2.521 0.012 0.408 0.536
Covariances:
Estimate Std.Err z-value P(>|z|) Std.lv Std.all
Illiteracy_centered ~~
Murder_centerd 1.550 0.312 4.963 0.000 1.550 0.703
interaction 0.733 0.320 2.290 0.022 0.733 0.546
HS.Grad -3.171 0.700 -4.532 0.000 -3.171 -0.657
Murder_centered ~~
interaction 2.223 1.596 1.393 0.164 2.223 0.273
HS.Grad -14.259 3.925 -3.633 0.000 -14.259 -0.488
interaction ~~
HS.Grad -7.938 2.988 -2.656 0.008 -7.938 -0.446
Intercepts:
Estimate Std.Err z-value P(>|z|) Std.lv Std.all
.Income_rescald 24.215 8.505 2.847 0.004 24.215 3.981
Illitrcy_cntrd -0.000 0.087 -0.000 1.000 -0.000 -0.000
Murder_centerd -0.000 0.524 -0.000 1.000 -0.000 -0.000
interaction 1.550 0.312 4.969 0.000 1.550 0.696
HS.Grad 53.108 1.124 47.235 0.000 53.108 6.642
Variances:
Estimate Std.Err z-value P(>|z|) Std.lv Std.all
.Income_rescald 19.006 3.928 4.838 0.000 19.006 0.514
Illitrcy_cntrd 0.364 0.065 5.586 0.000 0.364 1.000
Murder_centerd 13.355 1.780 7.501 0.000 13.355 1.000
interaction 4.956 1.441 3.439 0.001 4.956 1.000
HS.Grad 63.933 9.923 6.443 0.000 63.933 1.000
R-Square:
Estimate
Income_rescald 0.486
Defined Parameters:
Estimate Std.Err z-value P(>|z|) Std.lv Std.all
SS_min 3.953 2.924 1.352 0.176 3.953 1.348
SS_cutoff1 1.827 2.492 0.733 0.464 1.827 0.570
SS_cutoff2 1.342 2.409 0.557 0.578 1.342 0.392
SS_low 3.473 2.818 1.233 0.218 3.473 1.172
SS_mean 0.371 2.266 0.164 0.870 0.371 0.037
SS_high -2.731 2.063 -1.324 0.185 -2.731 -1.099
SS_max -3.211 2.071 -1.550 0.121 -3.211 -1.274
moderationModelSimpleSlopesFit_parameters <- parameterEstimates(
moderationModelSimpleSlopes_fit,
level = 0.95,
boot.ci.type = "bca.simple")
moderationModelSimpleSlopesFit_parameters
A simple slope of the predictor on the outcome is considered
significant at a given level of the moderator if the 95% confidence
interval from the bootstrapped estimates of the simple slopes at that
level of the moderator (i.e.,
[ci.lower,ci.upper]) does not include zero. In
this particular model, the predictor (Illiteracy) is not
significant at any of the levels of the moderator (Murder),
because the 95% confidence intervals of all simple slopes include zero,
in this case, likely due to a small sample size (\(N = 50\)) and the resulting low power.
As I noted above, the predictor is not significant at any levels of the moderator. Nevertheless, I created a made up Johnson-Neyman plot by specifying the (fictitious) range of significance, for purposes of demonstration. The band around the line indicates the 95% confidence interval of the simple slope of the predictor on the outcome as a function of different levels of the moderator. In reality (unlike in this fictitious example), the regions of significance would only be regions where the 95% confidence interval of the simple slope does not include zero.
The standard error of the slope is the square root of the variance of the slope. The forumula for computing the standard error of the slope is based on the formula for computing the variance of a weighted sum.
The slope of the predictor on the outcome at different levels of the moderator is calculated as (Jaccard & Turisi, 2003):
\[ \text{slope}_\text{predictor} = b_1 + b_3 \cdot Z \]
The standard error of the slope of the predictor on the outcome at different levels of the moderator is calculated as (https://stats.stackexchange.com/a/55973/20338; archived at https://perma.cc/V255-853Z; Jaccard & Turisi, 2003):
\[ \begin{aligned} SE(\text{slope}_\text{predictor}) &= \sqrt{Var(b_1) + Var(b_3) \cdot Z^2 + 2 \cdot Z \cdot Cov(b1, b3)} \\ SE(b_1 + b_3 \cdot Z) &= \end{aligned} \]
where:
The variance of a weighted sum is:
\[ \begin{aligned} Var(\text{slope}_\text{predictor}) &= Var(b_1) + Var(b_3) \cdot Z^2 + 2 \cdot Z \cdot Cov(b1, b3) \\ Var(b_1 + b_3 \cdot Z) &= \end{aligned} \]
The standard error is the square root of the variance. The 95%
confidence interval of the slope is \(\pm\) 1.959964 (i.e.,
qnorm(.975)) standard errors of the slope estimate.
# Create a data frame for plotting
Murder_min <- min(states$Murder, na.rm = TRUE)
Murder_max <- max(states$Murder, na.rm = TRUE)
plot_data <- data.frame(
Murder = seq(Murder_min, Murder_max, length.out = 10000)
)
plot_data$Murder_centered <- scale(plot_data$Murder, scale = FALSE)
# Calculate predicted slopes and confidence intervals
b1 <- moderationModelSimpleSlopesFit_parameters[which(moderationModelSimpleSlopesFit_parameters$label == "b1"), "est"]
b3 <- moderationModelSimpleSlopesFit_parameters[which(moderationModelSimpleSlopesFit_parameters$label == "b3"), "est"]
b1_se <- moderationModelSimpleSlopesFit_parameters[which(moderationModelSimpleSlopesFit_parameters$label == "b1"), "se"]
b3_se <- moderationModelSimpleSlopesFit_parameters[which(moderationModelSimpleSlopesFit_parameters$label == "b3"), "se"]
varianceCovarianceMatrix <- vcov(moderationFit)
b1_var <- varianceCovarianceMatrix["Income_rescaled~Illiteracy_centered","Income_rescaled~Illiteracy_centered"]
b3_var <- varianceCovarianceMatrix["interaction~~interaction","interaction~~interaction"]
cov_b1b3 <- varianceCovarianceMatrix["Income_rescaled~Illiteracy_centered","interaction~~interaction"]
#sqrt((b1_se^2) + ((b3_se^2) * plot_data$Murder_centered^2) + (2 * plot_data$Murder_centered * cov_b1b3))
#sqrt((b1_var) + ((b3_var) * plot_data$Murder_centered^2) + (2 * plot_data$Murder_centered * cov_b1b3))
plot_data$predicted_slopes <- b1 + b3 * plot_data$Murder_centered
plot_data$slope_se <- sqrt((b1_var) + ((b3_var) * plot_data$Murder_centered^2) + (2 * plot_data$Murder_centered * cov_b1b3))
# Calculated the 95% confidence interval around the simple slope
plot_data$lower_ci <- plot_data$predicted_slopes - qnorm(.975) * plot_data$slope_se
plot_data$upper_ci <- plot_data$predicted_slopes + qnorm(.975) * plot_data$slope_se
# Specify the significant range (based on the regions identified in the simple slopes analysis, see "Simple Slopes and Regions of Significance" section above)
plot_data$significant_slope <- FALSE
plot_data$significant_slope[which(plot_data$Murder_centered < -4.2 | plot_data$Murder_centered > 3.75)] <-TRUE # specify significant range
# Specify the significant region number (there are either 0, 1, or 2 significant regions; in such cases, there would be 1, 0 or 1 or 2, or 1 nonsignificant regions, respectively)--for instance, sig from 0-4, ns from 4-12, and sig from 12-16 would be 2 significant regions and 1 nonsignificant region
plot_data$significantRegionNumber <- NA
plot_data$significantRegionNumber[which(plot_data$Murder_centered < -4.2)] <- 1 # specify significant range 1
plot_data$significantRegionNumber[which(plot_data$Murder_centered > 3.75)] <- 2 # specify significant range 2
min(plot_data$Murder[which(plot_data$significant_slope == FALSE)])
[1] 4.051215
max(plot_data$Murder[which(plot_data$significant_slope == FALSE)])
[1] 11.99938
ggplot(plot_data, aes(x = Murder, y = predicted_slopes)) +
geom_ribbon(
data = plot_data %>% filter(significant_slope == FALSE),
aes(ymin = lower_ci, ymax = upper_ci),
fill = "#F8766D",
alpha = 0.2) +
geom_ribbon(
data = plot_data %>% filter(significantRegionNumber == 1),
aes(ymin = lower_ci, ymax = upper_ci),
fill = "#00BFC4",
alpha = 0.2) +
geom_ribbon(
data = plot_data %>% filter(significantRegionNumber == 2),
aes(ymin = lower_ci, ymax = upper_ci),
fill = "#00BFC4",
alpha = 0.2) +
geom_line(
data = plot_data %>% filter(significant_slope == FALSE),
aes(x = Murder, y = predicted_slopes),
color = "#F8766D",
linewidth = 2) +
geom_line(
data = plot_data %>% filter(significantRegionNumber == 1),
aes(x = Murder, y = predicted_slopes),
color = "#00BFC4",
linewidth = 2) +
geom_line(
data = plot_data %>% filter(significantRegionNumber == 2),
aes(x = Murder, y = predicted_slopes),
color = "#00BFC4",
linewidth = 2) +
geom_hline(yintercept = 0, linetype = "dashed") +
geom_vline(xintercept = c(4.051215, 11.99938), linetype = 2, color = "#00BFC4") + # update based on numbers above
labs(
title = "Johnson-Neyman Plot",
subtitle = "(blue = significant slope; pink = nonsignificant slope)",
x = "Moderator (Murder)",
y = "Simple Slope of Predictor (Illiteracy)") +
theme_classic()

For more info, see De Jonckere and Rosseel (2022, 2025).
HS.model <- '
visual =~ x1 + x2 + x3
textual =~ x4 + x5 + x6
speed =~ x7 + x8 + x9
'
fit1 <- cfa(
HS.model,
data = HolzingerSwineford1939,
missing = "ML",
estimator = "MLR",
bounds = "pos.var", # forces all variances of both observed and latent variables to be strictly nonnegative
rstarts = 10, # random starts
verbose = TRUE) # print all output
fit2 <- cfa(
HS.model,
data = HolzingerSwineford1939,
missing = "ML",
estimator = "MLR",
bounds = "standard", # uses bounds for observed and latent variances, and for factor loadings
rstarts = 10, # random starts
verbose = TRUE) # print all output
For a list of tools to create path diagrams, see here.
# simulate extra observed covariates
N <- nrow(PoliticalDemocracy)
PoliticalDemocracy$z1 <- rnorm(N)
PoliticalDemocracy$z2 <- 0.3*PoliticalDemocracy$x1 + 0.3*PoliticalDemocracy$x2 + 0.3*PoliticalDemocracy$x3 + rnorm(N)
# model syntax
myModel <- '
# latent variables
ind60 =~ x1 + x2 + x3
dem60 =~ y1 + y2 + y3 + y4
dem65 =~ y5 + y6 + y7 + y8
# regressions
dem60 ~ ind60
dem65 ~ ind60 + dem60 + z1 + z2
# residual covariances
y1 ~~ y5
y2 ~~ y4 + y6
y3 ~~ y7
y4 ~~ y8
y6 ~~ y8
'
# fit the model
fit <- sem(
model = myModel,
data = PoliticalDemocracy)
# extract the factor scores
factorScores <- as.data.frame(lavaan::lavPredict(fit))
# merge the factor scores with the original data
mydata <- cbind(PoliticalDemocracy, factorScores)
# residualize latent Y (dem65) on covariates
ry <- resid(lm(dem65 ~ dem60 + z1 + z2, data = mydata))
# residualize latent X (ind60) on same covariates
rx <- resid(lm(ind60 ~ dem60 + z1 + z2, data = mydata))
# create the partial regression plot
ggplot(
data = data.frame(rx, ry),
mapping = aes(rx, ry)) +
geom_point() +
geom_smooth(
method = "lm") +
labs(
x = "Residualized ind60",
y = "Residualized dem65",
title = "Partial Regression Plot from SEM"
)
`geom_smooth()` using formula = 'y ~ x'

sessionInfo()
R version 4.5.2 (2025-10-31)
Platform: x86_64-pc-linux-gnu
Running under: Ubuntu 24.04.3 LTS
Matrix products: default
BLAS: /usr/lib/x86_64-linux-gnu/openblas-pthread/libblas.so.3
LAPACK: /usr/lib/x86_64-linux-gnu/openblas-pthread/libopenblasp-r0.3.26.so; LAPACK version 3.12.0
locale:
[1] LC_CTYPE=C.UTF-8 LC_NUMERIC=C LC_TIME=C.UTF-8
[4] LC_COLLATE=C.UTF-8 LC_MONETARY=C.UTF-8 LC_MESSAGES=C.UTF-8
[7] LC_PAPER=C.UTF-8 LC_NAME=C LC_ADDRESS=C
[10] LC_TELEPHONE=C LC_MEASUREMENT=C.UTF-8 LC_IDENTIFICATION=C
time zone: UTC
tzcode source: system (glibc)
attached base packages:
[1] stats graphics grDevices utils datasets methods base
other attached packages:
[1] lubridate_1.9.4 forcats_1.0.1 stringr_1.6.0 dplyr_1.1.4
[5] purrr_1.2.0 readr_2.1.6 tidyr_1.3.1 tibble_3.3.0
[9] ggplot2_4.0.1 tidyverse_2.0.0 MBESS_4.9.41 lcsm_0.3.2
[13] lavaangui_0.3.2 lavaanPlot_0.8.1 semPlot_1.1.7 semTools_0.5-7
[17] lavaan_0.6-20
loaded via a namespace (and not attached):
[1] DBI_1.2.3 Rdpack_2.6.4 mnormt_2.1.1
[4] pbapply_1.7-4 gridExtra_2.3 fdrtool_1.2.18
[7] rlang_1.1.6 magrittr_2.0.4 otel_0.2.0
[10] rockchalk_1.8.157 compiler_4.5.2 mgcv_1.9-3
[13] png_0.1-8 vctrs_0.6.5 reshape2_1.4.5
[16] OpenMx_2.22.10 quadprog_1.5-8 pkgconfig_2.0.3
[19] fastmap_1.2.0 arm_1.14-4 backports_1.5.0
[22] labeling_0.4.3 pbivnorm_0.6.0 promises_1.5.0
[25] rmarkdown_2.30 tzdb_0.5.0 nloptr_2.2.1
[28] xfun_0.54 cachem_1.1.0 kutils_1.73
[31] jsonlite_2.0.0 later_1.4.4 jpeg_0.1-11
[34] psych_2.5.6 parallel_4.5.2 cluster_2.1.8.1
[37] R6_2.6.1 bslib_0.9.0 stringi_1.8.7
[40] RColorBrewer_1.1-3 boot_1.3-32 rpart_4.1.24
[43] jquerylib_0.1.4 Rcpp_1.1.0 knitr_1.50
[46] base64enc_0.1-3 timechange_0.3.0 httpuv_1.6.16
[49] Matrix_1.7-4 splines_4.5.2 nnet_7.3-20
[52] igraph_2.2.1 tidyselect_1.2.1 rstudioapi_0.17.1
[55] abind_1.4-8 yaml_2.3.12 qgraph_1.9.8
[58] lattice_0.22-7 plyr_1.8.9 withr_3.0.2
[61] shiny_1.12.1 S7_0.2.1 coda_0.19-4.1
[64] evaluate_1.0.5 foreign_0.8-90 RcppParallel_5.1.11-1
[67] zip_2.3.3 pillar_1.11.1 carData_3.0-5
[70] DiagrammeR_1.0.11 checkmate_2.3.3 stats4_4.5.2
[73] reformulas_0.4.2 generics_0.1.4 mix_1.0-13
[76] petersenlab_1.2.2 hms_1.1.4 scales_1.4.0
[79] minqa_1.2.8 gtools_3.9.5 xtable_1.8-4
[82] glue_1.8.0 mi_1.2 Hmisc_5.2-4
[85] tools_4.5.2 data.table_1.17.8 lme4_1.1-38
[88] openxlsx_4.2.8.1 mvtnorm_1.3-3 visNetwork_2.1.4
[91] XML_3.99-0.20 grid_4.5.2 mitools_2.4
[94] sem_3.1-16 rbibutils_2.4 colorspace_2.1-2
[97] nlme_3.1-168 htmlTable_2.4.3 Formula_1.2-5
[100] cli_3.6.5 viridisLite_0.4.2 corpcor_1.6.10
[103] glasso_1.11 gtable_0.3.6 sass_0.4.10
[106] digest_0.6.39 htmlwidgets_1.6.4 farver_2.1.2
[109] htmltools_0.5.9 lifecycle_1.0.4 mime_0.13
[112] lisrelToR_0.3 MASS_7.3-65